自考题库
首页
所有科目
自考历年真题
考试分类
关于本站
游客
账号设置
退出登录
注册
登录
出自:初级中学教师资格证
心智技能与操作技能相比,在结构上的特点是()。
A:具有观念性
B:具有内潜行
C:具有简缩性
D:具有整体性
首次提出山水画“三远”的论著是()。
A:《图画见闻志》
B:《林泉高致》
C:《画继》
D:《山水纯全集》
《中华人民共和国义务教育法》通过的时间是()
A:1986年4月12日
B:1986年9月1日
C:2006年6月29日
D:2006年9月1日
()是阅读和听讲时常用的一种精细加工策略,教师应注意讲慢一点、重复复杂主题材料、在黑板上写出重要信息等。
教师作为教学的组织者和引导者,是沟通学生与音乐的桥梁。教学中应突出学生的主体地位,提倡学生自主学习和探究式学习方式,充分发掘学生的音乐潜能。在这个过程中教师也应注意要爱护和尊重学生,以上叙述所要表达的观点是()。
A:遵循听觉艺术的感知规律,突出音乐学科特点
B:面向全体学生,注意因材施教
C:建立平等互动的师生关系
D:运用现代教育技术手段
教学的一般任务。
《普通高中音乐课程标准(实验)》提示我们:音乐教学不再是简单的“知识灌输”与“技能移植”的过程,而是师与生、生与生共同合作、共同进步的过程。以下哪两项属于合作共进的教学模式?() ①学生之间的合作共进 ②师生之间的合作共进 ③教师之间的合作共进 ④学科之间的合作共进
A:①⑧
B:②④
C:①②
D:③④
交响曲《欢乐颂》是作曲家()的作品。
A:海顿
B:贝多芬
C:席勒
D:李斯特
如图是处于平衡状态的简单淡水生态系统的一部分,请回答:
(1)此生态系统中共有__________条食物链。 (2)此生态系统中属于第三营养级的动物是__________,淡水虾与小鱼的关系是__________,大鱼与小鱼的关系是__________。 (3)此生态系统中的分解者是()。 (5)此生态系统中各种生物的总和,在生态学上称为__________。
孔子一向反对国君进行武力征伐,以力服人;主张实行礼治,即用加强教化的办法,以德服人。在《季氏将伐颛臾》中有“故远人不服,则修文德以来之。既来之,则安之”的表述。这表明()。
A:道德和文化对维系社会稳定和治理国家具有重要意义
B:文治和武功是治理国家的两种重要策略,缺一不可
C:法律和道德在维系社会稳定中的作用相互补充
D:中国传统文化太突出道德功利主义
学习《装在套子里的人》,教师有如下教学设计:教学任务:反复朗读课文,在整体了解作品内容和特点的基础上,提出需要深入探究的问题;明确本节课学习的核心。学生活动:根据自己的阅读感受,结合课后的思考题提出并筛选问题,为深入的阅读和探究作准备。教师指导:教师明确值得深入研讨的重难点问题,巧妙地将学生引导到主要的问题上去。对以上设计分析不恰当的是()。
A:重视朗读,培养学生语感
B:以学生为主体,教师起到引导作用
C:运用自主、合作、探究的学习方式
D:发挥学生主动性,激发学习兴趣
在《中华人民共和国义务教育法》中,国家鼓励高等学校毕业生到农村地区、民族地区缺乏教师的学校任教,其身份是()。
A:志愿者
B:实习者
C:兼职者
D:见习者
学生文化具有过渡性、非正式性、多样性、互补性。
阅读下列材料并回答相关问题。 材料1:近年来,食品安全问题已成为社会关注的焦点问题之一。食品安全问题直接影响着消费者的生命和健康,然而我国目前还没有建立较为完善的食品安全教育体系,公民主要通过电视、广播、网络等大众媒体了解食品安全信息。而大多数食品安全问题都与化学有着密切的联系,因此在化学教学中进行食品安全教育是一个可行的方式。 材料2:2011年9月5日,央视财经频道《消费主张》栏目一则题为“杂味儿的味精”的报道,披露了青岛两家味精厂生产的味精中谷氨酸钠含量严重不足,除此之外,还含有超标的硫酸镁和食盐等杂质。 问题: (1)在化学教学中进行食品安全教育,体现了义务教育化学新课程的什么基本理念? (2)材料2的内容能否用于进行食品安全教育?如果能,可以从什么角度切人进行设计,并写出要实现的教学目标;如果不能,请说明理由。 (3)列举两个可以渗透食品安全教育的化学教学内容。
托尔曼的学习理论曾被称为符号一格式塔学习理论或期待学说,现在一般称之为信号学习理论或()
A:符号学习理论
B:发现学习理论
C:同化学习理论
D:以上都不是
1866年,左宗棠设立了福州船政局。它是当时远东第一大船厂。造船厂与法国商定合同,五年内由他们监造大小轮船16艘,并训练中国学生和工人。对福州船政局认识正确的是()
A:是私人投资的民族工业
B:是中国第一家军事工业
C:推动福建地区工业化水平
D:便利西方对中国经济入侵
根据主体来分,教学评价可分为()
A:诊断性评价、形成性评价和总结性评价
B:相对评价、绝对评价和个体差异评价
C:自我评价和他人评价
D:定性评价和定量评价
在教育、教学中采用“一刀切”、“一锅煮”的办法,这是违背了人的身心发展的()。
A:顺序性
B:阶段性
C:互补性
D:差异性
学生学习了某种类型的解题规则,然后将学到的规则应用于新的情境。这种学习就是解决问题学习。
某学校校长在校庆大会上讲话时说:“我们有许多毕业生以自己的努力已在各自领域中获得了优异成绩。他们有的已成为科学家、将军、市长、大企业家,我们的学校以他们为骄傲。毋庸置疑,我们已毕业的同学中有许多女同学……”如果该校长讲话中的断定都是真的,那么以下哪项必定是真的()
A:取得优异成绩的至少有女同学
B:取得优异成绩的男同学多于女同学
C:取得优异成绩的女同学多于男同学
D:取得优异成绩的可能没有女同学
《江门日报》刊载“墨顽童”钟志明的题为“袁隆平的梦”的漫画。袁隆平备受人们喜爱的原因是他()
A:有助于解决世界粮食问题
B:解决了人类的生存问题
C:推动了世界人口的增长
D:为世界和平作出了突出贡献
我国目前的教师职业正处于追求专业化的阶段。
除革命党、谘议局、普通民众之外,清廷军队,甚至是袁世凯的北洋部队,也有暗中支持共和的举动。1911年12月10日,清朝驻荷兰国代办章申在给内阁的电报中说,“和(荷)报称„„美法愿共和(支持中国建立共和国)”。这表明()
A:中国全体国民都反对清朝君主专制制度
B:西方列强放弃清朝政府转而支持孙中山
C:清驻外大臣和袁世凯都赞成民主共和制
D:民主共和制已成为当时中国的大势所趋
1930年12月2日胡佛在第二个国情咨文中说:“经济不景气的问题是绝不能用立法的行动或行政的声明来解决的。”1931年12月8日,胡佛在第三个国情咨文中说:“联邦政府应最少最少地介入经济领域„„即使介入也是暂时的和迫不得已的。”可见胡佛政府()
A:始终坚持自由放任主义经济政策
B:坚持自由放任与国家干预相结合的经济政策
C:一定程度实行国家干预经济政策
D:坚持市场为主计划为辅的经济调节政策
某班开展“表达与交流”主题课活动,根据《普通高中语文课程标准(实验)》中的相关要求,以下关于该课教学目标的表述,
不正确
的一项是()。
A:注重对学生口语的教学,鼓励学生借助语调、语气、表情和手势合理地表达自己的观点
B:书面表达要观点明确,内容充实,感情真实健康,思路清晰连贯,积极发展创造思维
C:力求有个性、有创意的表达,根据个人特长和兴趣自由写作
D:学会演讲,做到观点鲜明,在讨论中积极发言,恰当地应对和辩驳
教育者施教传道和受教育者受教修养的相互作用的活动方式称为()。
A:德育内容
B:德育活动
C:德育方法
D:德育过程
教育对文化的保存和维持,主要是通过选择、整理和传递来实现的。
对各门学科的概念、定理、公式、学科体系的记忆,都是逻辑记忆。
一个遗传素质优良的儿童一定会转变为知识和才干优异的人才。
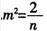
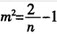
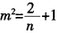
已知sinθ+cosθ=m,tanθ+cotθ=n,则m与n的大小关系为()。
A:m
2
=n,
B:
C:
D:
首页
<上一页
605
606
607
608
609
下一页>
尾页