自考题库
首页
所有科目
自考历年真题
考试分类
关于本站
游客
账号设置
退出登录
注册
登录
出自:基础考试
判断基桩承载能力极限状态标准是()。
A:基桩达到最大承载力
B:基桩出现不适于继续承载的变形基桩发生整体失稳
C:桩头位移过大
D:桩身破损
将0.1mol·L
-1
的HAc与0.1mol·L
-1
的NaAc混合溶液加水稀释1倍后,其浓度和pH值变化为()。
A:原来的1/2倍和增大
B:原来的1/2倍和不变
C:减小和增大
D:不变和不变
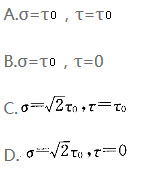
图示为等腰直角三角形单元体,已知两直角边表示的截面上只有剪应力,且等于τ
0
,则底边表示截面上的正应力σ和剪应力τ分别为:()
A:A
B:B
C:C
D:D
建立圆轴的扭转应力公式τ
p
=Tρ/I
p
时,"平面假设"起到的作用有下列四种答案:()
A:"平面假设"给出了横截面上内力与应力的关系
B:"平面假设"给出了圆轴扭转时的变形规律
C:"平面假设"使物理方程得到简化
D:"平面假设"是建立剪应力互等定理的基础
图示三铰支架上作用两个大小相等、转向相反的力偶m
1
和m
2
,其大小均为100kN·m,支架重力不计。支座B的反力F
B
的大小和方向为:()
A:A
B:B
C:C
D:D
在受弯构件正截面计算中要求ρ
min
≤10≤ρ
max
,ρ的计算是以哪种截面的梁为依据的?()
A:单筋矩形截面梁
B:双筋矩形截面梁
C:第一类T形截面梁
D:第二类T形截面梁
规范规定,采用隧洞径向加压试验测试岩体变形时,覆盖层最小厚度、试洞间距及距临空面的距离应大于()倍洞径。
A:2
B:3
C:5
D:6
两个点电荷在真空中相距7cm时的作用力与它们在煤油中相距5cm时的作用力相等,则煤油的相对介电系数是()。
A:0.5l
B:1.40
C:1.96
D:2.00
单位阶跃信号ε(t)是物理量单位跃变现象,而单位冲激信号δ(t)是物理量产生单位跃变()的现象。
A:速度
B:幅度
C:加速度
D:高度
有机化合物
的名称是:()
A:2-甲基-3-乙基丁烷
B:3,4-二甲基戊烷
C:2-乙基-3-甲基丁烷
D:2,3-二甲基戊烷
抽水井的稳定影响半径与下列哪项无关?()
A:含水层渗流系数K
B:出水量
C:降深
D:水力坡度
决定岩土强度的指标主要有()
A:重度
B:抗剪强度
C:埋深
D:上部荷载
图示结构,EI=常数,欲使结点B的转角为零,比值P
1
/P
2
应为:()
A:1.5
B:2
C:2.5
D:3
为了减少汽车尾气中NO和CO污染大气,拟按下列反应进行催化转化NO(g)+CO(g)=1/2N
2
(g)+CO
2
(g),
(298.15K)=-374kJ/mol。为提高转化率,应采取的措施是:()
A:低温高压
B:高温高压
C:低温低压
D:高温低压
密度试验须进行两次平行测定,取其算数平均值,其平行差值不得大于()
A:0.03g/cm
3
B:0.01g/cm
3
C:0.02g/cm
3
D:0.4g/cm
3
一跨度为L的简支架,若仅承受一个集中力P,当P在梁上任意移动时,梁内产生的最大剪力Q
max
和最大弯矩M
max
分别满足:()
A:A
B:B
C:C
D:D
某项目有三个产出相同的方案,方案寿命期均为10年,期初投资和各年运营费用如表所示,设基准折现率为7%,已知(P/A,7%,10)=7.204。则方案优劣的排序为:()
A:甲乙丙
B:甲丙乙
C:乙甲丙
D:丙乙甲
图示结构各杆线刚度i相同,用力矩分配法计算时,力矩分配系数μ
BA
及传递系数分别为C
BC
:()
A:1/2,0
B:4/7,0
C:4/7,1
D:4/5,-1
如图所示连接件中,螺栓直径为d,材料剪切容许应力为[τ],则螺栓的剪切强度条件为:()
A:A
B:B
C:C
D:D
对于砖、多孔混凝土或其他多孔材料用砂浆,强度主要取决于()。
A:水灰比
B:单位用水量
C:水泥强度
D:水泥用量
动点在运动过程中,a
t
常量,a
n
=0,动点作的运动是()。
A:匀变速曲线运动
B:匀变速直线运动
C:减速直线运动
D:变速曲线运动
前期固结压力是指()
A:土体在形成过程中所受到的最大总应力
B:土体在固结过程中所受到的最大总应力
C:土体在形成过程中所受到的最大有效应力
D:土体在固结过程中所受到的最大有效应力
土工合成材料试验取样时,应沿()取样。
A:边沿
B:随机
C:经纬方向
D:对角线
数字签名是最普遍、技术最成熟、可操作性最强的一种电子签名技术,当前已得到实际应用的是在()。
A:电子商务、电子政务中
B:票务管理中、股票交易中
C:股票交易中、电子政务中
D:电子商务、票务管理中
高分子化合物按其链节在空间排列的几何形状,可分为线型聚合物和体型聚合物两类。
一简谐横波沿Ox轴传播,若Ox轴上P
1
和P
2
两点相距λ/8(其中λ为该波的波长),则在波的传播过程中,这两点振动速度有下列中哪种关系?()
A:方向总是相同
B:方向总是相反
C:方向有时相同,有时相反
D:大小总是不相等
表征岩石膨胀特性的指标有()。
A:蒙脱石含量
B:自由膨胀率
C:侧限约束膨胀率
D:膨胀压
图示体系为几何不变体系,且其多余联系数目为:()
A:1
B:2
C:3
D:4
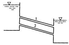
图示两根完全相同的长管道,只是安装高度不同,两管的流量关系为()。
A:Q
1
<Q
2
B:Q
1
>Q
2
C:Q
1
=Q
2
D:不一定
汽车在十字路口处沿图中虚线由西向北转弯,从A到B段曲线为圆弧。视汽车车厢为刚体,在A至B这段路程中,该刚体作()
A:圆周运动
B:曲线运动
C:曲线平动
D:定轴转动
首页
<上一页
58
59
60
61
62
下一页>
尾页