自考题库
首页
所有科目
自考历年真题
考试分类
关于本站
游客
账号设置
退出登录
注册
登录
出自:电气工程公共基础
一个逻辑函数以最大项之积表示的形式是唯一的,下面对最大项性质的描述正确的().
A:对于任一个最大项,只有对应一组变量取值,才能使其值为0,其余情况均为1。
B:任意两个最大项Mi和Mj,其逻辑或为1。
C:n个变量的最大项之逻辑与为0。
D:具有相邻性的两个最大项之积可以合并成一个或项,并消去一对因子。
在GB1094.3-2003标准中,SI的正确含义为()。
A:具有最高Um值的绕组线路端子上的雷电冲击耐受电压。
B:具有最高Um值的绕组线路端子上的操作冲击耐受电压。
C:每个绕组的线路端子和中性点端子上的的雷电冲
D:中性点的雷电冲击电压。
已知xy=kz(k为正常数),则等于()。
A:1
B:-1
C:k
D:
项目建设需要监理单位强有力的投入,科学地分解任务,做到事事有人管,件件有结果,确保项目执行力,保障项目的()。
A:人力资源
B:资金储备
C:物资资源
D:先进技术
云计算的最终业态是以下哪种形式()。
A:公有云取代所有技术
B:私有云大范围部署
C:私有云和私有云同时存在,互为备份
D:私有云取代所有技术
不属于
《安全生产法》调整范围的是()。
A:北京某股份制企业的生产活动
B:浙江某建筑公司的生产活动
C:广东某煤矿的生产活动
D:澳门某外资企业的生产活动
均质圆环的质量为m,半径为R,圆环绕O轴的摆动规律为φ=ωt,ω为常数。图4-74所示瞬时圆环对转轴O的动量矩为()。
A:mR2ω
B:2mR2ω
C:3mR2ω
在进行价值工程评价时,若计算某产品的价值系数为1.4,在确定其为改进对象后,需分析()。
A:该产品的功能重要性比重大于实际成本比重,功能过剩,作为功能改进的对象
B:该产品的功能重要性比重大于实际成本比重,成本过高,作为成本改进对象
C:该产品的功能重要性比重小于实际成本比重,功能不足,作为功能改进对象
D:该产品的功能重要性比重小于实际成本比重,实际成本过高,作为成本改进对象
设随机变量X的数学期望与标准差都是2.记Y=3-X,则E(Y2)等于().
A:3
B:5
C:7
D:9
OSPFV3与OSPFV2相比有很多不同之处,其中
不包括
()。
A:用“链路”取代了“网络”或“子网”的概念
B:不再划分区域
C:一条链路上可以运行多个OSPF实例
D:不能使用IPV6地址表示
设非齐次线性微分方程y’+P(x)y=Q(x)有两个不同的解:Y1(x)与y2(x),C为任意常数,则该方程的通解是().
A:
B:
C:
D:
采用短路法进行温升试验,试验的第二阶段应施加()。
A:试品的总损耗
B:试品的额定电流
C:试品的额定电压
变压器油中表示化学性能的主要因素是()。
A:酸值
B:闪点
C:水分
D:烃含量
下列厨房中发生的变化,
不属于
化学变化的是()
A:沼气燃烧
B:米饭酿成米酒
C:小苏打发酵面粉蒸馒头
D:淘米水浸泡蔬菜瓜果
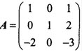
设
,则A-1=()。
A:
B:
C:
D:
已知D(X)=4,D(Y)=9,Cov(X+Y)=2,则D(3X-2Y)等于().
A:96
B:72
C:48
D:36
在双缝干涉实验中,波长为λ的单色光垂直入射到缝间距为α的双缝上,屏到双缝的距离为D,则某一条明纹与其相邻的暗纹的间距为()。
A:
B:
C:
D:
下列选项中,哪一项属于服务的特性()。
A:可储存性
B:可分离性
C:无形性
D:不可变性
全息照相
组合逻辑电路的设计中,常用的消除竞争-冒险的方法是()。
A:引入封锁脉冲
B:引入选通脉冲
C:接入滤波电容
D:修改逻辑设计,增加冗余项
下列选项中可以恢复的数据有()。
A:数据
B:正文
C:图像
D:声音
在R=6kΩ、L=4H、C=1μF三个元件串联的电路中,电路的暂态属于下列哪种类型?()
A:非振荡
B:振荡
C:临界振荡
D:不能确定
5级最大长度移存型计数器的产生的序列信号的序列长度是()。
A:5
B:10
C:31
D:32
关于放大镜,如下说法
不正确
的是()
A:放大镜就是凸透镜
B:用放大镜可得到物体倒立的像
C:物体放在任何位置都可以得到放大的像
D:只有把物体放在凸透镜焦点以内,才能得到正立、放大的像
下列物质中酸性最弱的是()。
A:H3AsO3
B:H3AsO4
C:H3PO4
D:HBrO4
在图4-74中,将圆环的惯性力系向O点简化,其主矢和主矩的数值为()。
A:=0,=0
B:=mRω2,=0
C:=mRω2,≠0
D:=0,≠0
变压器油中水分增加可使油的介质损耗因数()。
A:降低;
B:增加;
C:不变;
D:恒定。
图示平面机构,半径为R的圆轮在水平直线轨道上作纯滚动,图示位置=60°,轮心A的速度为v,杆AB长l,B端紧靠铅直墙,则此瞬时B点速度vB和杆AB的角速度应为()。
A:
B:
C:
D:
集成触发器有()3种结构。
A:同步结构
B:主从结构
C:边沿结构
D:维持-阻塞结构
油浸风冷变压器,在风冷却装置停止运行的条件下进行声级测量时,规定的轮廓线应距基准发射面()米。
A:0.1
B:0.2
C:0.3
D:2
首页
<上一页
58
59
60
61
62
下一页>
尾页