自考题库
首页
所有科目
自考历年真题
考试分类
关于本站
游客
账号设置
退出登录
注册
登录
出自:设备工程监理基础及相关知识
投资额不大的科研项目可以采用()管理模式。
A:承建者
B:投资者自主
C:委托
D:混合
()是以整体设备工程的进度作为编制计划的对象,内容包括设计工作进度、设备采购进度、设备制造进度、设备安装与调试进度等。
A:总进度计划
B:年度计划
C:设计进度计划
D:前期工作计划
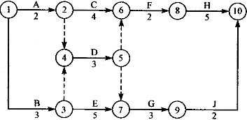
某设备安装工程双代号网络计划如下图所示,其关键线路有()条。
A:2
B:3
C:4
D:5
设备监理的主要任务是(),这种任务与其他工程咨询工作有很大的区别。
A:监督与控制
B:计划与组织
C:计划与控制
D:组织与协调
国际上,强制性的工程保险
不包括
()。
A:机动车辆险和社会保险
B:建筑工程一切险和安装工程一切险
C:10年责任险和5年责任险
D:监理责任险
项目目标评价内容可以按照项目目标体系结构来评价,一般包括()。
A:总体目标及目标体系的评价
B:目标参数值的评价
C:目标涉及工作配置状态的评价
D:经济性能评价
E:安全与风险性能评价
组织通常由三个基本层次构成,自上而下依次为()。
A:设计层
B:验收层
C:决策层
D:协调层
E:操作层
项目风险管理过程包括制定、()和管理风险处理方案等过程。
A:监督
B:选择
C:指导
D:控制
各省、自治区、直辖市质量技术监督部门和发展计划部门的主要职责
不包括
()。
A:对所发证书的单位和人员进行监督、复审,提出有关证书的延续、变更和暂停、吊销的意见
B:负责本地区设备工程监理单位的资格初审
C:对本地区内业绩突出的乙级资格的监理单位申请甲级资格提出推荐意见
D:负责本地区注册设备监理师的注册登记和年度审查工作
网络计划中的虚工作()。
A:既消耗时间,又消耗资源
B:只消耗时间,不消耗资源
C:既不消耗时间,又不消耗资源
D:不消耗时间,只消耗资源
建设监理与设备监理需要由建设项目()来统一。
A:目标
B:内容
C:计划
D:对象
以下对项目风险管理的描述中,
不正确
的是()。
A:项目的风险管理是一个辨识确定和分析度量项目风险,制定、选择和管理风险处理方案的过程
B:项目风险管理的目标是以最少的成本,保证安全、可靠地实现项目的总目标
C:项目风险管理的目标与项目的总体目标相一致,是一个明确的、单一的目标
D:项目风险管理的程序可以表述为风险管理计划编制、风险识别、风险分析与量化、风险政策研究和风险监控等五个过程
国际上工程涉及的自愿保险包括()等。
A:机动车辆保险
B:汇率保险
C:人身意外险
D:境内货物运输险
E:政治风险保险
“仅在有能力从事服务时才接受委托人的服务要求”是监理工程师在()方面的职业道德。
A:对他人的公正
B:技能
C:正直性
D:对社会和职业的责任
工作包是:()
A:一项WBS最低层的交付工作
B:一项具有特殊标准的任务
C:一项必要的汇报工作
D:一项可分包给若干单位的任务
在下图所示的单代号网络计划中,关键线路有()条。
A:1
B:2
C:3
D:4
投资控制子系统应实现的基本功能
不包括
()。
A:编制项目概算和预算
B:项目概算与预算的对比分析
C:实际投资与概算、预算、合同价的对比分析
D:验收及索赔
设备工程监理服务设计与开发的程序包括()。
A:策划
B:编写设备工程监理服务提要,确定设计开发过程的输入文件
C:编写设备工程监理服务规划,形成设计开发输出文件
D:纠偏
E:评审
建设前期决策阶段信息的收集包括()。
A:被批准的可行性研究报告中所涉及的已选定的建设地点和厂址的具体情况
B:总平面布置
C:工艺流程
D:尚待解决的问题等影响未来设备设计的方案、参数等
E:制造商的基本情况
设备监理工作是一种专业性的监督活动,设备监理的专业性有多种含义,包括()。
A:设备监理的依据带有专业性
B:设备监理单位在设备监理活动中具有组织有关各方协作、配合的职能,同时是合同管理的主要承担者,具有调解有关各方之间权益矛盾、维护合同双方合法权益的职能
C:设备监理工作是按照设备工程承包合同的要求,依据国家的技术规范、质量标准、经济参数、合同标准条件、有关政策和法规等对承包商的生产过程进行监督、控制、指导和协调
D:设备监理的对象带有较强的专业性
E:设备监理工作本身也是一种专业性的工作
以下属于定性评价内容的是()。
A:对设备监理机构的人员结构和数量的评价
B:设备监理单位的内部管理制度及其执行情况评价
C:对被监理工程的质量、进度、投资目标的实现情况的评价
D:对与被监理工程有关的分析、验证和检验装备的评价
在设备工程监理企业和设备工程监理机构中,总监理工程师应承担的责任包括()。
A:对监理单位应承担的责任
B:计划与组织的责任
C:对监理服务项目的实施和完成应承担的责任
D:协调规划的责任
E:对监理机构成员应承担的责任
甲级设备工程监理单位注册资金不得少于()万元人民币。
A:50
B:100
C:300
D:500
设备工程监理工作是一种专业性的监督和管理活动,设备工程监理的专业性有多种含义,表现在()。
A:设备工程监理的依据带有专业性
B:设备工程监理单位在设备监理活动中具有组织有关各方协作、配合的职能,同时是合同管理的主要承担者,具有调解有关各方之间权益矛盾、维护合同双方合法权益的职能
C:设备工程监理工作是按照设备工程承包合同的要求,依据国家的技术规范、质量标准、经济参数、合同标准条件、有关政策和法规等对承包商的生产过程进行监督、控制、指导和协调
D:设备工程监理的对象带有较强的专业性
E:设备工程监理工作本身也是一种专业性的工作
()是指个人或组织的逻辑思维对环境的认识、评价和判断产生矛盾的结果,导致其精神状况不和谐、不稳定。
A:利益冲突
B:文化冲突
C:角色冲突
D:心理冲突
设备工程()管理阶段需要完成设备工程的总体方案设计。
A:设计总进度
B:设计准备工作
C:初步设计进度
D:技术设计进度
安装实施期需收集的信息包括()。
A:与设备工程有关的设计图纸及概预算
B:承包商的人员、设备及水、电、气等的动态信息
C:承包商的管理程序
D:工程需遵循的相关法律、法规和规范、规程
E:有关质量检验、控制的技术法规和质量验收标准
下列各项中,
不属于
国家质量监督检验检疫部门的主要职责的是()。
A:制定并发布与设备工程监理工作有关的规章制度
B:具体负责设备工程监理活动的管理,并组织实施
C:会同国家人事部门,颁发《注册设备监理单位资格证书》
D:建立设备监理信息系统
()是指监理单位为完成某个监理服务合同,实现监理服务目标所建立的管理模式,是为实现监理服务目标所进行的组织设计策划的结果。
A:监理项目组织
B:监理服务方法
C:监理项目结构
D:监理服务形式
按用途划分,项目报告可以分为()
A:汇报性报告
B:说服性报告
C:敲定性报告
D:绩效报告
E:工作总结报告
首页
<上一页
4
5
6
7
8
下一页>
尾页