出自:电气工程师发输变电

架空线路十字塔保护接地的接地电阻不宜大于()。
A:4Ω
B:5Ω
C:10Ω
D:30Ω
光源的相关色温小于3300K时,其色表特征描述为()。
A:暖
B:中间
C:冷
D:特冷

某220kV变电所,所址环境温度35℃,大气污秽Ⅲ级,海拔14-6m,所内的220kV设备200MVA开式电器,户外中型布置,220kV配电装置为双母线,母线三相短路电流为25kA,其中一回接线如图所示,最大输送功率为200MVA,回答下列问题。



第1题,共10个问题
(单选题)220kV变电所远离发电厂,220kV母线三相短路电流为25kA,220kV配电设备某一回路电流互感器的一次额定电流为1200A.请计算电流互感器的动稳定倍数应大于()。
A:53
B:38
C:21
D:14.7

第2题,共10个问题
(单选题)35kV侧断路器额定电流最小选取()。
A:1600A
B:2500A
C:3000A
D:4000A

第3题,共10个问题
(单选题)35kV母线电压互感器高压熔断器,必须按照技术要求()选择。
A:额定电压、开断电流
B:工频耐压、开断电流
C:额定电压、额定电流、开断电流
D:额定电压、开断电流、开断时间

第4题,共10个问题
(单选题)如220kV的母线隔离开关选用单柱垂直开启式,则在分闸状态下动静触头的最小电气距离不小于()。
A:1800mm
B:2000mm
C:2550mm
D:3800mm

第5题,共10个问题
(单选题)如果此回路是系统联络线,采用LW12-220SF6单断口瓷柱式断路器,请计算瓷套对地爬电距离和断口间爬电距离不低于哪项()?
A:500cm550cm
B:630cm630cm
C:630cm756cm
D:756cm756cm

第6题,共10个问题
(单选题)如某回路220kV母线隔离开关选定额定电流为1000A,它应具备切母线环流能力是:当开合电压300V,开合次数100次,其开断电流应为哪项()?
A:500A
B:600A
C:800A
D:1000A

第7题,共10个问题
(单选题)正序阻抗标幺值最接近()。
A:0.1612-0.00560.0944
B:0.0806-0.00280.0472
C:0.0806-0.00280.0944
D:0.2611-0.00910.1529

第8题,共10个问题
(单选题)此回路断路器、隔离开关持续电流为()。
A:52.487A
B:524.87A
C:787.3A
D:909A

第9题,共10个问题
(单选题)站用变选择37(1±5%)/0.4kV,630kV.A,UD=6.5%的油浸变。站用变低压屏电源进线额定电流和延时开断能力为()。
A:800A16Ie
B:1000A12Ie
C:1250A12Ie
D:1500A8Ie

第10题,共10个问题
(单选题)计算110kV隔离开关动热稳定参数,最小可用(仅考虑三相短路)()?
A:热稳定25kA,动稳定63kA
B:热稳定31.5kA,动稳定80kA
C:热稳定31.5kA,动稳定100kA
D:热稳定40kA,动稳定100kA
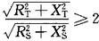
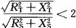
在220/380V网络中,只要满足()条件时,则低压侧短路电流周期分量不衰减。式中Rs、Xs为变压器高压侧归算到低压侧的电阻及电抗(mΩ);RT、XT为变压器的电阻及电抗(mΩ)。
A:
B:
C:以电源容量为基准的X*C≥3时
D:以电源容量为基准的X*C<3时
以下场所中的()的接地干线应不少于两处与接地体联结。
A:火灾危险环境
B:变配电所
C:爆炸性气体环境
D:消防控制窜
某水泵扬程为8.5m,流量为260L/s,水泵效率为0.82,传动效率为0.92。该水泵原配套额定容量为55kW交流电动机,电源电压380V,运行时电流表读数为67A,功率因数cosφ=0.78。为提高运行效率,现将原水泵配套的55kW电动机替换为额定容量为40kW的交流电动机,替换后电动机负载功率不变,此时电动机效率为91%。该水泵每年运行4500h。试计算更换电动机前后的有关运行参数采用55kW电机配套时电机的输入功率为()。
A:19.86kW
B:34.4kW
C:42.9kW
D:44.1kW
导体的载流量由什么确定
某房间,长8.2m、宽8m、高3.2m,照度标准值Eav=200lx,Ra2≥80,维护系数为0.8,选用两种不同荧光灯,作能效比较。

第1题,共5个问题
(单选题)上述第1小题方案配电子镇流器,输入功率37W,实际LPD值为()。
A:5.1W/m2
B:5.6W/m2
C:6.1W/m2
D:6.6W/m2

第2题,共5个问题
(单选题)第2小题方案的LPD值为方案(1)的LPD值的百分比是()。
A:110%
B:120%
C:129%
D:136%

第3题,共5个问题
(单选题)用单端荧光灯(三基色)26W,Tcp=4000K,Ra2=85,φ=18001m,配嵌入式筒灯,利用系数U=0.55,需要灯管数为()支。
A:9
B:12
C:15
D:16

第4题,共5个问题
(单选题)用T8三基色直管荧光灯36W,Tcp=4000K,Ra2=85,φ=33501m配格栅灯具,利用系数U=0.55,需要灯管数为()支。
A:9
B:12
C:15
D:16

第5题,共5个问题
(单选题)上述第2小题方案配电子镇流器,输入功率27W,实际LPD值为()。
A:5.1W/m2
B:5.6W/m2
C:6.1W/m2
D:6.6W/m2
某车间有一台额定容量为8000kVA的电力变压器,其空载损耗为10.9kW,短路损耗为52.8kW,阻抗电压为7.2%,变压器负载率为75%,二次侧功率因数cosφ2=0.9。试计算该变压器的效率。该变压器的效率为()。
A:95.25%
B:97.85%
C:98.1%
D:99.25%
以释放源为中心,半径为15m,高度为7.5m的范围内划为2区,但封闭建筑物的外墙和顶部距2区的界限不得小于()m。
A:5
B:4
C:3
D:2
电力变压器的使用寿命一般是()年。
A:40~50
B:30~40
C:20~30
D:10~20
变压器室位于容易沉积可燃粉尘、可燃纤维的场所时,可燃油油浸变压器室应设置容量为()变压器油量的挡油设施,或设置容量为()变压器油量挡油池并能将油排到安全处所的设施。
A:80%,20%
B:100%,50%
C:100%,20%
D:90%,40%
安全电压36V在矿井、多导电粉尘等场所使用的行灯等空载上限值取()V。
A:50
B:43
C:36
D:29
环境保护行政主管部门(有相应审批权的)在收到环境影响报告书(表)和主管部门预审意见之日起()日内,对环境影响报告书(表)提出审批意见和要求,逾期不作为则视该环境影响报告书(表)已被批准。
A:60
B:120
C:180
D:240
供配电系统中,当∑R≤1/3∑X时,Kch取1.3,则ich为,的()倍。
A:1.5
B:1.732
C:1.84
D:2.55
在爆炸性气体环境中应采取防止爆炸的措施。对区域内易形成和积聚爆炸性气体混合物的地点设置自动测量仪器,当气体或蒸汽浓度接近爆炸下限值的()时,应能可靠地发出信号或切断电源。
A:50%
B:75%
C:80%
D:40%
圆柱齿轮传动9级精度闭式传动(油液润)传动效率为()。
A:0.98~0.99
B:0.97
C:0.96
D:0.94~0.96
在火灾危险环境内,正常运行时有火花的和外壳表面温度较高的电气设备,应远离()物质。
A:难燃
B:非燃
C:可燃
D:不燃
下列条件中()符合爆炸性粉尘环境的电力设计规定。
A:宜将电气设备和线路,特别是正常运行时能产生火花的电气设备布置在爆炸性粉尘环境以外
B:事故易发地点必须装设局部照明灯和插座
C:爆炸性粉尘环境内,有可能过负荷的电气设备,应装设可靠的过负荷保护
D:在爆炸性粉尘环境采用非防爆型电气设备进行隔墙机械传动时,安装电气设备的房间应采用非燃烧体的实体墙与爆炸性粉尘环境隔开
下列哪些措施可提高电力系统的暂态稳定水平()?
A:采用紧凑型输电线路
B:快速切除故障和应用自动重合闸装置
C:发电机快速强行励磁
D:装设电力系统稳定器(PSS)
保护配电装置上断路器、负荷开关和电容器组等的避雷器的接地线应与设备外壳相连,接地电阻数值不应大于()。
A:4Ω
B:5Ω
C:10Ω
D:30Ω
某500kV送电线路,导线采用四分裂导线,导线的直径为26.82mm,截面为425.24mm2,单位长度质量为1.349kg/m,设计最大覆冰厚度为10mm,同时风速为10m/s,导线最大使用应力为92.85N/mm2,不计绝缘子的荷载(提示g=9.8,冰的密度为0.9g/cm3)。请计算直线塔在不均匀覆冰情况下导线不平衡张力()?
A:15793N
B:110554N
C:3948.4N
D:27638N

某工厂的供电系统如图所示,有两台50MVA,110/10kV变压器,阻抗电压为UK%=10.5,并列运行,接入110kV电网系统,系统短路容量
=∽。送出线上装设限流电抗器,正常通过电抗器的负荷电流为0.8kA,功率因数cosφ=0.8,取S=100MVA。



第1题,共1个问题
(单选题)K2点三相短路时10kV母线的剩余电压为()。
A:73.5%
B:63%
C:84%
D:52.5%
一台10/0.4kV配电变压器,绕组联结为Dyn11,二次侧三相短路时的超瞬态短路电流I″22K3=32kA,则流过一次侧的电流I″2K3为()。
A:0.74kA
B:1.22kA
C:1.48kA
D:0.85kA
杆塔自然接地极的效果在()Ω·m考虑。
A:ρ≥300
B:ρ≥1500
C:ρ≥1000
D:ρ≥3000
交联聚乙烯绝缘电力电缆35kV线芯允许长期工作温度为()℃。
A:90
B:80
C:70
D:65
高度为10m的工业厂房,显色指数(Ra2)要求大于60,可选择的光源有()。
A:金属卤化物灯
B:自镇流高压汞灯
C:高压钠灯
D:无极荧光灯
消防用电设备的配电线路应满足火灾时连续供电的需要,下列配电线路的敷设要求()是正确的。
A:在保护层厚度为40mm的混凝土结构内穿钢管暗敷
B:穿塑料管明敷
C:采用有防火保护的封闭式金属线槽明敷
D:穿无防火保护的金属管明敷
为什么要限制短路电流
短路电流计算结果的应用为()。
A:验算接地装置的接触电压和跨步电压
B:选择继电保护装置和整定计算
C:计算软导线的短路摇摆
D:电气主接线比选