自考题库
首页
所有科目
自考历年真题
考试分类
关于本站
游客
账号设置
退出登录
注册
登录
出自:基础考试
设某理想气体的体积为V,压强为P,温度为T,每个分子的质量为μ,玻尔兹曼常量为K,则该气体的分子总数可以表示为()。
A:
B:
C:
D:
在下列四种说法中正确的是( )
A:A
B:B
C:C
D:D
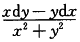
设C为圆周:x
2
+y
2
=r
2
(r>0),C的方向为逆时针方向,则
的值为()
A:2π
B:2πr
C:
D:0
一定量的理想气体,起始温度为T,体积为V。后经历绝热过程,体积变为2V。再经过等压过程,温度回升到起始温度。最后再经过等温过程,回到起始状态。则在此循环过程中,下列对气体的叙述,哪一条是正确的?()
A:气体从外界净吸的热量为负值
B:气体对外界净做的功为正值
C:气体从外界净吸的热量为正值
D:气体内能减少
土体的重要特点有()
A:散体性
B:多用性
C:自然变异性
D:各向同性
E:均质性
等直圆轴抗扭刚度为GI
p
(图5-4-9),轴的中部Ⅱ段端部相对扭转角
为:()
A:6ma/GI
p
B:8ma/GI
p
C:10ma/GI
p
D:14ma/GI
p
我国目前增大刚性承压板刚度的常用方法有()。
A:加厚
B:加肋板
C:加混凝土块
D:叠置式
挤密桩的桩孔中,下面哪一种材料不能作为填料:()
A:黄土
B:膨胀土
C:水泥土
D:碎石
设质量为100kg的物体从点M
(2,0,7)沿直线移动到点M
(0,3,1),则重力所做的功(长度单位为m,重力方向为Z轴负方向)为()。
A:0(J)
B:980(J)
C:5880(J)
D:2940(J)
图示结构,由细长压杆组成,各杆的刚度均为EI,则P的临界值为:()
A:A
B:B
C:C
D:D
图示为一定量的理想气体经历acb过程时吸热500J。则经历acbda过程时,吸热量为:()
A:-1600J
B:-1200J
C:-900J
D:-700J
一半径为r的圆盘c以匀角速度w在半径为R的圆形曲面上作纯滚动,则圆盘边缘上M点的加速度a
m
的大小为()。
A:A
B:B
C:C
D:D
盾构的标准断面形式为()。
A:圆形
B:矩形
C:椭圆形
D:双环
为了防止计算机病毒的传染,应该做到()。
A:干净的光盘不要与来历不明的光盘放在一起
B:不要复制来历不明的U盘上的程序
C:长时间不用的U盘要经常格式化
D:对移动硬盘上的文件要经常重新复制
沥青混合料是一种复合材料,由沥青、粗集料、细集料和矿粉以及外加剂所组成。
SL235-2012中,剥离试验剥离力大小的取值采用剥离过程中的最大值作为剥离力。
变形稳定标准通常有绝对标准和相对标准。其中相对标准对应于应力—应变曲线呈直线。
压强为p、体积为V的氢气(视为刚性分子理想气体)的内能为:()
A:A
B:B
C:C
D:D
图示外伸梁,A截面的剪力为:()
A:A
B:B
C:C
D:D
图示结构中,EI=常量,EI
1
=∞,则K截面弯矩为()(下侧受拉为正)。
A:-pl/2
B:-3p1/16
C:-p1/8
D:-p1/16
试验研究表明:对同一地基土体,基础的形状、尺寸及埋深不同,地基的承载力相同。
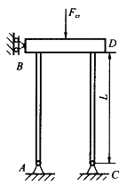
两根完全相同的细长(大柔度)压杆AB和CD如图示,杆的下端为固定铰链约束,上端与刚性水平杆固结。两杆的弯曲刚度均为EI,其临界载荷F
cf
为()。
A:A
B:B
C:C
D:D
当适筋梁受拉钢筋刚达到屈服时,是下列中的哪一种状态?()
A:达到极限承载能力
B:受压边缘混凝土的压应变ε
c
=εε
u
(εε
u
混凝土的极限压应变)
C:受压边缘混凝土的压应变ε
c
≤ε
u
D:受压边缘混凝土的压应变ε
c
=0.002
灌砂法测定土的密度时,试坑的尺寸应与试样的粒径相配合,以使所取的试样有足够的代表性。
难溶电解质AgCl在浓度为0.01mol/dm的下列溶液中,溶解度最小的是:()
A:NH
3
B:NaCl
C:H
2
O
D:Na
2
S
2
O
2
某容器中含氨0.32mol、氧0.18mol、氮0.70mol,总压强为100kPa时,氨、氧、氮的分压强分别为:()
A:(15、27、58)×10
3
Pa
B:(10、30、60)×10
3
Pa
C:(25、20、55)×10
3
Pa
建筑物变形观测主要包括下列中的哪些观测?()
A:沉降观测、位移观测
B:倾斜观测、裂缝观测
C:沉降观测、裂缝观测
D:A和B
已知某电路元件的电压u(t)=20sin(314t+30°)V,电流i(t)=5cos(314t+30°)A,这个元件是()。
A:电阻
B:电感
C:电容
D:电压源
天然岩体自重应力()。
A:随深度增加而增加
B:与构造应力有关
C:等于岩体初始应力
D:不确定
在简谐波传播过程中,沿传播方向相距为1/2λ(λ为波长)的两点的振动速度必定有下列中哪种关系?()
A:大小相同,而方向相反
B:大小和方向均相同
C:大小不同,方向相同
D:大小不同,而方向相反
首页
<上一页
57
58
59
60
61
下一页>
尾页