出自:初级中学教师资格证

2014年3月11日,首批民营银行5家试点方案公布,确定将由参与设计试点方案的阿里巴巴、万向、腾讯等10家公司参与试点工作,组成了首批5家民营银行。对此下面认识正确的是()①民营银行出现表明我国在金融领域进一步加快了改革和开放②民营银行出现印证了我国在金融领域坚持基本经济制度③民营银行与建行、工行、农行及中国人民银行等商业银行形成三分天下的局面④随着阿里巴巴、腾讯等网络巨头的加入,民营银行的基本业务将发生巨大的改变
A:②④
B:①②
C:③④
D:①③

阅读文本材料和相关要求,完成问题。
[原文]
桃花源记
陶渊明
晋太元中,武陵人捕鱼为业。缘溪行,忘路之远近。忽逢桃花林,夹岸数百步,中无杂树,芳草鲜美,落英缤纷。渔人甚异之。复前行,欲穷其林。
林尽水源,便得一山,山有小口,仿佛若有光。便舍船,从口入。初极狭,才通人。复行数十步,豁然开朗。土地平旷,屋舍俨然,有良田美池桑竹之属。阡陌交通,鸡犬相闻。其中往来种作,男女衣着,悉如外人。黄发垂髫,并怡然自乐。
见渔人,乃大惊,问所从来。具答之。便要还家,设酒杀鸡作食。村中闻有此人,咸来问讯。自云先世避秦时乱,率妻子邑人来此绝境,不复出焉,遂与外人间隔。问今是何世,乃不知有汉,无论魏晋。此人一一为具言所闻,皆叹惋。余人各复延至其家,皆出酒食。停数日,辞去。此中人语云:“不足为外人道也。”
既出,得其船,便扶向路,处处志之。及郡下,诣太守,说如此。太守即遣人随其往,寻向所志,遂迷,不复得路。
南阳刘子骥,高尚士也,闻之,欣然规往。未果,寻病终。后遂无问津者。
单元导语
本单元所选文言文,体裁不尽相同,有叙事的,有夹叙夹议的,有说明事物特征的,文字简洁而意味深长,有些文章还寄托了作者的情怀。又选杜甫诗三首,都是脍炙人口的名篇。
学习本单元,要先借助注释和工具书读懂课文大意,然后在反复诵读中领会它们丰富的内涵和精美的语言,并积累一些常用的文言词语。
《义务教育语文课程标准(2011年版)》的相关规定
诵读古代诗词,阅读浅易文言文,能借助注释和工具书理解基本内容。注重积累、感悟和运用,提高自己的欣赏品位。
课文说明
本文为人教版语文教科书八年级上册第五单元的一篇精读课文。同单元课文还有《短文两篇》、《核舟记》(魏学洢)、《大道之行也》(《礼记》)、《杜甫诗三首》。
课后作业(部分)
1.找出文中的古今异义词并解释其古义和今义。
2.熟读并背诵全文,用自己的话叙述这个故事,可以适当地加进自己的想象。
3.作者在这篇文章里寄托了怎样的社会理想?这个理想在当时的条件下能不能变成现实?今天我们应当怎样看待这样的理想?
学生情况
八年级,班额50人
课时安排
一课时
教学条件
教室配有多媒体设备,能够演示PPT,播放视频、音频文件等。



第1题,共1个问题
(简答题)请评析第二段的语言特色(不少于150字)。
“怯于竞争必然死亡,敢于竞争才有生路。”可见()。
A:竞争有助于排除垄断
B:市场竞争是企业生存和发展之道
C:竞争必将排斥合作
D:竞争必然提高企业的活力
简述对中学生进行心理健康教育的意义。
“一把钥匙开一把锁”体现的德育原则是()。
A:导向性原则
B:疏导原则
C:教育一致性原则
D:因材施教原则
班主任工作总结一般分为两类:全面总结和专题总结。一般在学期学年末进行。
学生文化具有()、()、()、()。
突然,从窗外传来一阵急促的“的嘟”——“的嘟”——声,这声音犹如一块巨石落入平静的水面,教室里顿时喧闹起来。紧接着,像有谁下了一道命令:“向左看齐”,所有的学生都向左边看去。这是怎么回事,还没等老师喊出话来,坐在靠窗边的同学已经站起来,叭在窗台上向外张望,其他的同学更是着急,他们有的站在椅子上,有的一蹦一跳,脖子伸得老长,平时上课就坐不住的索性冲出座位,涌到窗前。他们你扒我,我推他,争先恐后地向外张望——原来是两辆红色的消防车由南向北从窗前驶过……教室里恢复平静后,请看以上2位教师的做法: A老师灵机一动,便放弃了原来的教学内容,而让同学把刚才的所见、所闻、所想说出来,写下来。结果,同学们个个情绪高涨说得头头是道,写得也很精彩,乐得老师满脸堆笑。 B老师面对以上情境板起面孔,维持纪律,让学生回到座位上.继续原来的教学。而学生却余兴未止,沉浸在刚才的氛围中……B老师不愿意放弃原来的教学内容,否则他认为自己没有完成教学任务。 问题: A、B两位老师的做法有何不同?你赞同哪位老师的做法?
夏洛蒂·勃朗特创造了世界上著名的独立女性()。
A:简·爱
B:郝思嘉
C:安娜·卡列尼娜
D:凯瑟琳
教育研究的对象是各种教育现象。
“实体-联系”模型可以形象地用E-R图表示,在E-R图中()表示数据之间的属性。
A:菱形
B:椭圆形
C:矩形
D:三角形
初中体育课上,学生在学跳山羊动作时,教师叫某一位平时练得比较好,自己也很自信的学生做标准动作示范,这位学生在同学们期待的眼神中没有跳过去,引起同学们哄笑,这位学生感到很没面子自信性大受打击。

第1题,共1个问题
(简答题)(1)面对案例中的情况,教师应如何应对?(2)试分析初中体育教学中,教师应如何对学生进行挫折教育。
对重要领导人功过是非进行全面总结,根本否定“文化大革命”的会议是()。
A:党的十一届三中全会
B:党的十一届六中全会
C:党的十三大
D:党的十四大
跨经度最广的大洲是()
A:亚洲
B:非洲
C:南美洲
D:南极洲
以下关于专家~新手比较研究说法错误的是()。
A:研究步骤分为选出专家、新手,提出任务;比较两者完成任务情况
B:20世纪70年代后期被应用于研究教师的认知
C:它是认知心理学家研究专门领域的知识时常采用的方法
D:这一方法最初就应用于教师的认知研究
如图所示人体内的细胞在分裂过程中每条染色体的DNA含量变化曲线。下列有关叙述中正确的是()。
A:该图若为减数分裂.则cd期的细胞都含有23对同源染色体
B:该图若为减数分裂,则基因的分离和自由组合都发生在cd段某一时期
C:该图若为有丝分裂,则细胞板和纺锤体都出现在bc时期
D:该图若为有丝分裂,则ef期的细胞都含两个染色体组
初中生情绪变化两极性的具体表现不包含()。
A:复杂与简单共存
B:微妙的隐蔽性
C:波动与稳定共存
D:情绪体验的冲动性
某中学高一年级学生小石在放学回家时经过校门口的拐弯处,被歹徒刺死。家长要求学校赔偿,而学校则认为孩子已经放学,并已离开学校,学校无过错。 请根据《未成年人保护法》的相关规定,指出学校对未成年人应担负哪些安全责任?请你为学校提出一些加强学校安全的防范措施。
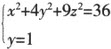
方程表示()。
A:椭球面
B:平面上椭圆
C:椭圆柱面
D:椭圆柱面在平面上的投影曲线
对于人的成长来说,承担责任是()①自尊自信的具体表现②自立自强的必然选择③走向成熟的标志④付出一定代价的
A:①②④
B:①②③
C:②③④
D:①③④
机械记忆是一种无用记忆。这种说法是否正确。
历史学家钱乘旦先生在一篇文章中给出了这样一组数据:1803年,英国最富裕的1.4%的家庭就取得国民总收入的15.7%,到1867年,0.07%的家庭就取得16.2%%的国民总收入。„„1803年收入最多10%的人占有国家财富的2/5,1867年则超过50%。钱先生利用这组数据要论证的观点可能是()
A:工业革命促进了生产力的发展
B:工业革命引发了社会关系的变革
C:工业革命加剧了贫富分化程度
D:民主政治的完善加速了财富集中
信息加工学习理论认为学生的学习是一个信息加工的过程。信息是经( )的形式储存在长时记忆中。
某历史课外学习小组在进行研究性学习时,同学们分别撰写“铁路运输时代的到来”、“产业工人的贫困”、“世界市场的形成”、“落日余晖的晚清帝国”等论文。该小组最合适的研究主题是()
A:近代清朝的兴衰
B:工人运动的发展
C:交通工具的变革
D:工业浪潮的冲击
在布鲁纳的发现学习理论和奥苏伯尔的接受学习理论中的发现学习都是最重要的学习方法。
1950年除夕,上海《新民报》报道:“毛主席和斯大林元帅给我们带来了过年礼物,教我们全国人民在大年夜欢欢喜喜高高兴兴过个年。”文中的“礼物”指的是()
A:苏共将派代表到西柏坡
B:签定《中苏友好同盟互助条约》
C:苏联支持中国抗美援朝
D:苏联援助中国实施“一五”计划
教师必须经过道德体验才能理解道德规范,进而转化为个人的道德修养,实现这种转化的关键因素是()
A:道德认知
B:道德评价
C:道德情感
D:道德行为
在资本主义社会里,资本家雇佣工人进行劳动并支付相应的工资。资本主义工资的本质是()。
A:工人所获得的资本家的预付资本
B:工人劳动力的价值或价格
C:工人所创造的剩余价值的一部分
D:工人全部劳动的报酬
要了解动物在人类生活中的作用,常用的科学方法是()。
A:比较法
B:模拟实验法
C:调查法
D:科学推测
从课程的任务来看,课程分为国家课程、地方课程、学校课程。