自考题库
首页
所有科目
自考历年真题
考试分类
关于本站
游客
账号设置
退出登录
注册
登录
出自:经济学
古典货币数量论主要包括()。
A:欧文·费雪的交易方程
B:弗里德曼的货币需求理论
C:剑桥方程
D:凯恩斯货币需求理论
农产品批发市场
旅游资源的理论核心是()
A:吸引力因素
B:多样性因素
C:变化性因素
D:季节性因素
效益费用比
潜在国民生产总值作为一个国家一定时期可以生产的最大产量,在任何情况下都不会低于实际的GDP。
成本预测的概念及程序?
十七届三中全会规定中国的土地流转关系()。
当政府发行了货币时,物价上涨()。
A:过多
B:过少
C:跟货币量无关
D:不知道
最大最小策略(Maximin strategy)
吉芬物品
产业结构的功能主要有()、()、()、()的功能。
计算题: 假设名义利率为12%,通货膨胀率为8%,则实际利率为多少?
用AD-AS模型比较两种对付通货膨胀的方法。
在新古典经济学中,市场是()。
A:完全竞争
B:完全垄断
C:寡头垄断
D:垄断竞争
农产品期货市场应该是由相互依存和相互制约的()组成的一个完整的组织结构体系。
A:证监会
B:期货交易所
C:期货交易结算所
D:期货经纪公司
E:期货交易者
“起飞”理论
财政政策是政府干预经济运行的主要控制手段和间接工具,它主要通过哪些手段来影响经济主体的经济活动()
A:货币手段
B:计划手段
C:税收手段
D:支出手段
E:公债手段
产业结构的合理化要解决的问题包括().
A:供给结构和需求结构的相互适应问题
B:三次产业间以及各产业内部部门之间发展的协调性
C:产业结构效应如何充分发挥的问题
D:以上都是
经济全球化()了世界经济中的差距。
A:缩小
B:溶合
C:加剧
D:制约
价值形式
货币政策的一般性工具主要有()
A:存款准备金率
B:再贴现政策
C:优惠利率
D:公开市场业务
对宏观经济进行管理是计划经济的要求.()
完全可竞争市场
如果完全垄断厂商通过实行价格歧视剥夺了全部消费者剩余,这种价格歧视被称为()。
A:一级价格歧视
B:二级价格歧视
C:三级价格歧视
D:一级和二级价格歧视
斯蒂格勒认为更加了解地区选民的效用和需求的是()
A:外国政府
B:中央政府
C:地区政府
D:非盈利组织
以下
不属于
税收的特征的是()
A:强制性
B:市场性
C:无偿性
D:固定性
()是中国当前最大的政治。
影响财政政策调控效应的因素中,当IS曲线斜率越大,会出现什么情况?()
A:产出效应越小,挤出效应越大
B:产出效应越小,挤出效应越小
C:产出效应越大,挤出效应越小
D:产出效应越大,挤出效应越大
区位因素对区域经济发展作用的大小取决于哪些方面?
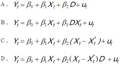
假定月收入在2000元以内和月收入在2000元以上的居民边际消费倾向明显不同
则描述消费函数变动线性关系应采用()
A:A
B:B
C:C
D:D
首页
<上一页
570
571
572
573
574
下一页>
尾页