自考题库
首页
所有科目
自考历年真题
考试分类
关于本站
游客
账号设置
退出登录
注册
登录
出自:基础考试
某第4周期的元素,当该元素原子失去一个电子成为正1价离子时,该离子的价层电子排布式为3d
10
,则该元素的原子序数是:()
A:19
B:24
C:29
D:36
立体Ω={(x,y,z)|4≤x
2
+y
2
+z
2
≤9,z
2
≤x
2
+y
2
+z
2
}的体积为()
A:A
B:B
C:C
D:D
杆AF、BE、EF相互铰接,并支承如图所示。今在AF杆上作用一力偶(P,P′),若不计各杆自重,则A支座反力作用线的方向应:()
A:过A点平行力P
B:过A点平行BG连线
C:沿AG直线
D:沿AH直线
如图所示两跨静定梁,对于Q和M图如下结论中哪个是正确的?()
A:两者的M图和Q图都相同
B:两者的M图相同,Q图不同
C:两者的M图不同,Q图相同
D:两者的M图和Q图均不相同
微分方程
的通解是()
A:A
B:B
C:C
D:D
采用不固结不排水试验方法对饱和粘性土进行剪切试验,土样破坏面与水平面的夹角为:()
A:45°+
/2
B:45°
C:45°-
/2
D:0°
图示结构EI=常数,用力矩分配法计算时,分配系数
为:()
A:4/11
B:1/2
C:1/3
D:4/9
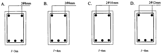
受弯构件架立筋的配置如图所示,其中哪个图的配筋是错误的(l为跨度)?()
A:A
B:B
C:C
D:D
在1:500地形图上量得某两点间的距离d=234.5mm,下列何项表示了两点的实地水平距离D的值?()
A:117.25m
B:234.5m
C:469.9m
D:1172.5m
图示一流线夹角很小、曲率很小的渐变流管道,A—A为过流断面,B—B为水平面,1、2为过流断面上的点,3、4为水平面上的点,各点的运动物理量有以下哪种关系?()
A:A
B:B
C:C
D:D
钢筋混凝土梁中,钢筋的混凝土保护层厚度是指下列中哪个距离?()
A:箍筋外表面至梁表面的距离
B:主筋内表面至梁表面的距离
C:主筋截面形心至梁表面的距离
D:主筋外表面至梁表面的距离
等边三角形ABC,边长为a,沿其边缘作用大小均为F的力F
1
、F
2
、F
3
,方向如图所示,力系向A点简化的主矢及主矩的大小分别为:()
A:A
B:B
C:C
D:D
膨胀率是试样在无侧向变形条件下浸水后的单向膨胀量与试样原始高度之比。
图示结构,各杆EI、EA相同,K、H两点间的相对线位移为:()
A:A
B:B
C:C
D:D
圆截面轴的危险面上,受有弯矩M
y
、M
z
(M
y
=M
z
)和扭矩M
T
作用(图5-10-14),则其危险点是:()
A:A、B、c、d点
B:C点
C:f、g点
D:e、f、g点
水准测量中的转点是()。
A:放水准尺的点
B:放水准仪的点
C:传递高程的点
D:转动仪器的轴
起讫于同一已知点和已知方向的导线称为:()
A:附合导线
B:结点导线网
C:支导线
D:闭合导线
图示连续梁,杆端弯矩M为()(可用力矩分配法)。
A:M/2,顺时针
B:M/2,逆时针
C:M/4,顺时针
D:M/4,逆时针
黏土矿物主要由()组成.
A:高岭石
B:蒙脱石
C:基础埋深
D:上部荷载
在操作系统中,用户在使用I/O设备时,通常采用()。
A:物理设备名
B:逻辑设备名
C:虚拟设备名
D:设备牌号
已知汽油的密度为670kg/m
3
,动力黏性系数μ为0.54×10
-3
Pa·s,则其运动黏性系数为()。
A:0.806×10
-6
m
2
/s
B:0.806×10
-6
m
2
/s
C:3.6×10
-3
m
2
/s
D:0.36×10
-3
m
2
/s
真空预压法适用于大面积地基的加固处理。
由曲面
所围成的立体体积为()
A:A
B:B
C:C
D:D
图示矩形截面纯弯曲梁(图5-7-17),M
z
,b,h已知,则图示斜截面上正应力的分布规律有四种答案:()
A:A
B:B
C:C
D:D
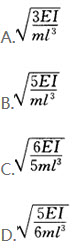
图示体系,设弹簧刚度系数
,则体系的自振频率为:()
A:A
B:B
C:C
D:D
设D={(x,y)|x
2
+y
2
≤9},二重积分
( )
A:A
B:B
C:C
D:D
若梁的荷载及支承情况对称于梁的中央截面C,如图所示,则下列结论中哪一个是正确的?()
A:Q图对称,M图对称,且Q
c
=0
B:Q图对称,M图反对称,且M
c
=0
C:Q图反对称,M图对称,且Q
c
=0
D:Q图反对称,M图反对称,且M
c
=0
设函数f(x)=xe
x
,则f
n
(1)=()。
A:(n-1)e
B:ne
C:(n+1)e
D:n+1
采用孔径变形法测试岩体的空间应力状态时,应采用三孔交会法布置测孔。
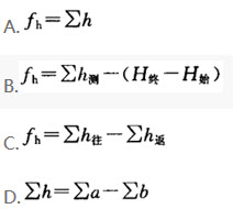
用于附合水准路线的成果校核的是下列中的哪个公式?()
A:A
B:B
C:C
D:D
首页
<上一页
55
56
57
58
59
下一页>
尾页