自考题库
首页
所有科目
自考历年真题
考试分类
关于本站
游客
账号设置
退出登录
注册
登录
出自:电气工程公共基础
色像差
下面对最小项性质的描述正确的是()。
A:任意两个最小项mi和mj(i≠j),其逻辑与为1。
B:n个变量的全部最小项之逻辑或为0。
C:某一个最小项不是包含在函数F中,就是包含在函数
D:具有相邻性的两个最小项之和可以合并成一项,并消去一对因子。
工程变更费用报审表是承包单位收到总监理工程师签认的()、()、()后在承包合同约定的期限内就变更工程价款项目监理机构审核确认的资料。
A:《工程变更单》
B:《设计会审记录》
C:《设计变更通知单》
D:《工程变更费用单》
有一星形连接的对称负载接于线电压为380V的三相四线制电源上,如图7.2-45所示。当在M点断开时,U1为()。
A:190V
B:220V
C:311V
D:380V
已知电对的标准电极大小顺序为
,则下列离子最强的还原剂为()。
A:F-
B:Fe2+
C:Na+
D:Mg2+
用三态门可以实现“总线”连接,但其“使能”控制端应为()。
A:固定接0
B:固定接1
C:同时使能
D:分时使能
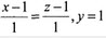
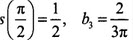
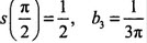
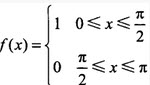
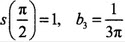
已知
,则f(x)在(0,π)内的正级数的和函数s(x)在处的值及系数了b3分别为()。
A:
B:
C:
D:
汽车吊在使用时应注意什么问题?
组合电路逻辑功能的表示方法有()。
A:真值表
B:卡诺图
C:逻辑表达式
D:时序图
关于吸收电流,下列叙述错误的是()
A:收电流是由绝缘体中各种介质极化所引起的。
B:收电流的大小与试验品绝缘的均匀程度密切相关。
C:绝缘比较均匀,则吸收电流较小,吸收现象不太明显
D:缘比较均匀,则吸收电流较大,吸收现象不太明显。
某化合物的结构式为
则该化合物不能发生的化学反应类型是()。
A:加成反应
B:氧化反应
C:消去反应
D:还原反应
地下水渐变渗流的浸润线,沿程变化为()。
A:下降
B:保持水平
C:上升
D:以上情况都可能
一台变比为k=10的变压器,从低压侧作空载实验,求得副边的励磁阻抗标幺值为16,那末原边的励磁阻抗标幺值是()。
A:16,
B:1600,
C:0.16。
产生压力在()以上的泵称为高压泵。
A:3.0MPa;
B:4.0MPa;
C:5.0MPa;
D:6.0MPa。
设α=i+2j+3k,β=i-3j-2k,与α、β都垂直的单位向量为()。
A:A
B:B
C:C
D:D
二次型,当满足()时,是正定二次型。
A:λ>-1
B:λ>0
C:λ>1
D:λ≥1
数制实际上指的是数的进位制,下列哪些属于数制的种类。()。
A:二进制
B:BCD码
C:十进制
D:十六进制
调速给水泵偶合器的勺管传动方式为()。
A:竖式;
B:斜插式;
C:混合式;
D:横式。
项目收尾时,项目经理需要对成员进行评估,以下说法正确的是()。
A:参考项目执行中各成员里程碑考核结果
B:和各成员进行充分沟通
C:项目经理负责评价项目核心成员估结果
D:项目经理向各成员的行政主管输出评
移动式悬臂吊车在220kV架空电力线路两旁工作时,起重设备及物体与线路的最小间隙距离应不小于()。
A:2m;
B:4m;
C:6m;
D:8m。
试述电压等级为110~220kV的变压器充氮运输,现场油置换的工作程序及技术要求。
在三维空间中方程y2-z2=1所代表的图形是()。
A:母线平行x轴的双曲柱面
B:母线平行y轴的双曲柱面
C:母线平行z轴的双曲柱面
D:双曲线
两种远心光路分别是物方远心光路,()
横波沿一根弦线传播,其方程为y=-0.02cosπ(4x-50t)(SI),该波的振幅与波长分别为()。
A:0.02cm,0.5cm
B:-0.02m,-0.5m
C:-0.02m,0.5m
D:0.02m,0.5m
测量变压器介质损失角的电桥为()。
A:交流电桥
B:西林电桥
C:直流电桥
D:电阻电桥
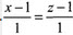
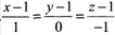
已知平面π过点(1,1,0)、(0,0,1)、(0,1,1),则与平面π垂直且过点(1,1,1)的直线的对称方程为()。
A:
B:
C:
D:
组合型有载分接开关主要由哪几部分组成?
光波叠加原理
水电厂的供水,一般包括__________、_________、_________三个方面。
在项目投资估算中,属于静态投资的是()。
A:固定资产方向调节税
B:基本预备费
C:涨价预备费
D:建设期利息
首页
<上一页
55
56
57
58
59
下一页>
尾页