自考题库
首页
所有科目
自考历年真题
考试分类
关于本站
游客
账号设置
退出登录
注册
登录
出自:基础考试
对于平面应力状态,以下说法正确的是:()
A:主应力就是最大正应力
B:主平面上无剪应力
C:最大剪力作用的平面上正应力必为零
D:主应力必不为零
图5-7-14所示梁内K点的应力状态单元体应为()
A:A
B:B
C:C
D:D
饱和土体的固结过程应该是()
A:孙隙水压不断增加的过程
B:有效应力的增加而孔隙水压力减小的过程
C:有效应力不断减小的过程
D:有效应力的减小而孔隙水压力增加的过程
图示悬臂梁自由端承受集中力偶M
e
。若梁的长度减少一半,梁的最大挠度是原来的()。
A:1/2
B:1/4
C:1/8
D:1/16
图示体系为()。
A:几何可变
B:几何不变无多余约束
C:一次超静定
D:二次超静定
图示桁架B点竖向位移(向下为正)Δ
BV
为:()
A:A
B:B
C:C
D:D
在迈克耳逊干涉仪的一条光路中,放入一折射率为n、厚度为d的透明薄片,放入后,这条光路的光程改变了多少?()
A:2(n-1)d
B:2nd
C:2(n-1)d+1/2λ
D:nd
刚度为EI的悬臂梁受四种不同载荷作用(图5-8-11)。设梁内的变形能分别用U
1
、U
2
、U
3
和U
4
表示,若不考虑剪力,则下列结论中哪个是正确的?()
A:A
B:B
C:C
D:D
均匀地基中地下水位埋深为1.40m,不考虑地基中的毛细效应,地下水位上土重度为15.8kN/m
3
,地下水位以下土体的饱和重度为19.8kN/m
3
,则地面下3.6m处的竖向有效应力为()。
A:64.45kPa
B:34.68kPa
C:43.68kPa
D:71.28kPa
SL235-2012中,剥离试验剥离力大小的取值采用剥离过程中最大值作为剥离力。
设氨水的浓度为cmol·L
-1
,将其稀释1倍后OH
-
的浓度为()mol·L
-1
。
A:1/2·C
B:2C
C:
D:
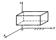
在固定的坐标系oxyz中,长方体作平移(或称平动)。长方体的自由度数为()。
A:1个
B:2个
C:3个
D:4个
已
,在标准状态下反应Sn
2+
+Cu
2+
Cu+Sn
4+
达到平衡时,该反应的lgK为:()
A:3.2
B:6.4
C:-6.4
D:-3.2
强夯法有效加固深度取决于()。
A:夯锤体积
B:夯锤落距
C:夯锤质量
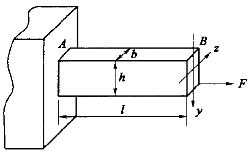
图示矩形截面杆AB,A端固定,B端自由。B端右下角处承受与轴线平行的集中力F,杆的最大正应力是:()
A:A
B:B
C:C
D:D
在材料相同的条件下,随着柔度的增大:()
A:细长杆的临界应力是减小的,中长杆不是
B:中长杆的临界应力是减小的,细长杆不是
C:细长杆和中长杆的临界应力均是减小的
D:细长杆和中长杆的临界应力均不是减小的
质量为m,长为2L的均质杆初始位于水平位置,如图所示。A端脱落后,杆绕轴B转动,当杆转到铅垂位置时,AB杆B处的约束力大小为()。
A:A
B:B
C:C
D:D
为了提高梁的承载能力,梁的支座有图示四种方案:()
A:A
B:B
C:C
D:D
在麦克斯韦速率分布律中,速率分布函数f(v)的意义可理解为:()
A:速率大小等于v的分子数
B:速率大小在v附近的单位速率区间内的分子数
C:速率大小等于v的分子数占总分子数的百分比
D:速率大小在v附近的单位速率区间内的分子数占总分子数的百分比
由稳定条件P≤
[σ]A,可求[P],当A增加一倍时,[P]增加的规律有四种答案:()
A:增加一倍
B:增加二倍
C:增加1/2倍
D:P与A不成比例
落锥试验中的落锥穿透孔径采用钢板尺测量。
一容器内储有某种理想气体,如果容器漏气,则容器内气体分子的平均平动动能和容器内气体内能变化情况是:()
A:分子的平均平动动能和气体的内能都减少
B:分子的平均平动动能不变,但气体的内能减少
C:分子的平均平动动能减少,但气体的内能不变
D:分子的平均平动动能和气体的内能都不变
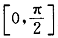
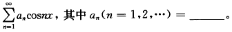
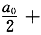
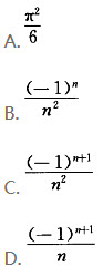
将函数f(x)=x
2
在
上展开成余弦级数,其形式为
()
A:A
B:B
C:C
D:D
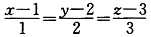
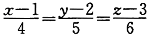
过点M
1
(1,2,3)及点M
2
(4,6,8)的直线方程为()
A:
B:
C:
D:
固结系数Cv越大,土层的固结速度越慢。
晶体管非门电路如图所示,已知U
cc
=15V,U
B
=-9V,R
c
=3kΩ,R
B
=20kΩ,β=40,当输入电压U1=5V时,要使晶体管饱和导通,R
x
的值不得大于()kΩ。(设U
BE
=0.7V,集电极和发射极之间的饱和电压U
ces
=0.3V)
A:3.55
B:7.1
C:17.5
D:35
已知A、B两点的海拔分别为:H
A
=3.500m,H
B
=4.000m,试问AB的高差应为h应为:()
A:-0.500m
B:+0.500m
C:+0.250m
D:-0.250m
接缝嵌填密封止水材料时,应做到(),并()
A:外形整齐,表面洁净
B:外观平顺,表面平整
C:尺寸合格,表面洁净
D:尺寸合格,填充紧密
在热力学标准条件下,0.100mol的某不饱和烃在一定条件下能跟0.200gH
2
发生加成反应生成饱和烃;完全燃烧时生成0.400molCO
2
气体,该不饱和烃是()。
A:CH
2
=CH
2
B:CH
3
CH
2
CH=CH
2
C:CH
3
CH=CH
2
D:CH
3
CH
2
C=CH
地基中的有效应力等于()
A:附加应力与自重力之和
B:总应力与孔隙水应力之差
C:基地压力与上覆荷载之和
D:地基中某点的垂直应力与水平应力之和
首页
<上一页
54
55
56
57
58
下一页>
尾页