自考题库
首页
所有科目
自考历年真题
考试分类
关于本站
游客
账号设置
退出登录
注册
登录
出自:基础考试
某压力水管,直径d=250mm,流量Q为3.12×10
-1
m
3
/s,沿程阻力系数λ=0.02,则管道的壁面处水流切应力τ
0
为:()
A:101.1N/m
2
B:110N/m
2
C:95.1N/m
2
D:86.2N/m
2
如图所示,一倒置U形管,上部为油,其密度P
油
=800kg/m
3
,用来测定水管中的A点流速u
A
,若读数△h=200mm,则该点流速u
A
为:()
A:0.885m/s
B:1.980m/s
C:1.770m/s
D:2.000m/s
图示结构A截面的弯矩(以下边受拉为正)M
AC
为:()
A:-Pl
B:Pl
C:-2Pl
D:2Pl
如经纬仪横轴与竖轴不垂直,则会造成下述中的哪项后果?()
A:观测目标越高,对竖直角影响越大
B:观测目标越高,对水平角影响越大
C:水平角变大,竖直角变小
D:竖直角变大,水平角变小
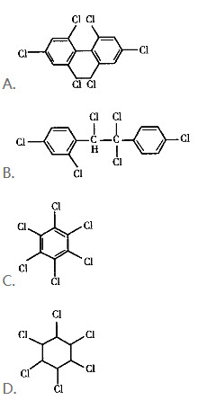
六氯苯的结构式正确的是:()
A:A
B:B
C:C
D:D
在常用的传输介质中,带宽最宽、信号衰减最小、抗干扰能力最强的一类传输介质是()。
A:光纤
B:双绞线
C:同轴电缆
D:无线通信
外伸梁AC的受载情况如图5-6-11。求梁中弯矩的最大值(绝对值)|M|
MAX
。有四种答案:()
A:0.67Pa
B:Pa
C:1.5Pa
D:2Pa
垂直放置的矩形平板,一侧挡水,该平板由置于上、下边缘的拉杆固定,则拉力之比T
1
/T
2
应为:()
A:1/4
B:1/3
C:1/2
D:1
图示Z形截面杆一端自由,在自由端作用一集中力F,这个杆的变形设有四种答案:()
A:平面弯曲变形
B:斜弯曲变形
C:弯扭组合变形
D:压弯组合变形
物块重W=100kN,置于倾角为α=60°的斜面上,如图所示。与斜面平行的力P=80kN,若物块与斜面间的静摩擦因数f=0.2,则物块所受的摩擦力为()。
A:10kN
B:20kN
C:6.6kN
D:100kN
模拟信号经过()才能转化为数字信号。
A:信号幅度的量化
B:信号时间上的量化
C:幅度和时间的量化
D:抽样
岩溶地区进行勘探与测试时,下述说法
不正确
的是()。
A:岩溶地区主要采用综合物探,并在代表性物探异常点布置验证性钻孔
B:可用轻便型、密集型勘探查明或验证土洞
C:岩溶地区钻探时岩芯采取率不得小于80%
D:岩溶地区地下水样试验时,除进行一般项目外,应增加游离CO2和侵蚀性CO
2
含量分析
对某一流段,设其上、下游两断面1-1、2-2的断面面积分别为A
1
、A
2
,断面流速分别为v
1
、v
2
,两断面上任一点相对于选定基准面的高程分别为Z
1
、Z
2
,相应断面同一选定点的压强分别为p
1
、p
2
,两断面处的流体密度分别为ρ
1
、ρ
2
,流体为不可压缩流体,两断面间的水头损失为h
t1-2
。下列方程表述一定错误的是:()
A:A
B:B
C:C
D:D
土工合成材料蠕变极限强度借蠕变试验结果,经外延推算确定。
图示三根压杆均为细长(大柔度)压杆,且弯曲刚度均为EI。三根压杆的临界荷载F
cr
的关系为:()
A:A
B:B
C:C
D:D
影响单桩竖向抗拔承载力的因素主要有()
A:桩周围土体的影响
B:桩自身因素影响
C:施工因素影响
D:休止时间影响
E:上部荷载影响
对下图,下列说法中,哪一个是错误的:()
A:对理想流体,该测压管水头线(H线)应该沿程无变化
B:该图是理想流体流动的水头线
C:对理想流体,该总水头线(H线)沿程无变化
D:该图不适用于描述实际流体的水头线
已知某理想气体的压强为p,体积为V,温度为T,气体的摩尔质量为M,k为玻兹曼常量,R为摩尔气体常量。则该理想气体的密度为:()
A:A
B:B
C:C
D:D
关于图5-9-8所示主应力单元体的最大剪应力作用面有下列四种答案:()
A:A
B:B
C:C
D:D
有一基坑的地下土质为黏性土,其渗透系数<0.1m/d;其降水深度<6m;此种基坑适宜采用()降水方法。
A:明排井(坑)
B:真空井点
C:电渗井点
D:大口井
某宿舍楼采用墙下C15混凝土条形基础,基础顶面的墙体宽度0.38m,基底平均压力为250kPa,基础底面宽度为1.5m,基础的最小高度应符合下列()选项的要求。
A:0.70m
B:1.00m
C:1.20m
D:1.40m
垫层法不适用于大面积堆场地基加固。
防渗围井可用于测试所有结构形式高喷墙的质量。
图示组合结构,其中受弯杆件的抗弯刚度EI=常量,二力杆的抗拉刚度EA=常量,在水平荷载F
p
作用下,对称轴线上杆件EF的轴力为()。
A:0
B:F
p
(受拉)
C:F
p
(受压)
D:2F
p
(受拉)
不定积分
()
A:A
B:B
C:C
D:D
通常取()作为表征土体物理性质的基本试验指标。
A:密度
B:含水率
C:孔隙比
D:土粒比重
图示桁架中a杆的轴力N
a
为:()
A:+P
B:-P
C:+
P
D:-
P
能量方程
中表示下述哪种能量?()
A:单位重量流体的势能
B:单位重量流体的动能
C:单位重量流体的机械能
D:单位质量流体的机械能
两孔口形状、尺寸相同,一个是自由出流,出流流量为Q
1
;另一个是淹没出流,出流流量为Q
2
。若自由出流和淹没出流的作用水头相等,则Q
1
与Q
2
的关系是:()
A:Q
1
>Q
2
B:Q
1
=Q
2
C:Q
1
D:不确定
在公路、铁路选线遇到滑坡时,下列说法错误的是()。
A:对性质复杂的大型滑坡,路线应尽量绕避
B:对性质简单的中小型滑坡;路线一般不需绕避
C:路线必须通过滑坡时,宜在滑坡体的中部通过
D:路线通过滑坡体的上缘时,宜采用路堑形式,路线通过滑坡体下缘时,宜采用路堤形式
首页
<上一页
53
54
55
56
57
下一页>
尾页