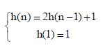
石漠化是指地表植被遭破坏,基岩裸露或砾石堆积的土地退化现象。下图是贵州省某地区石漠化随坡度、坡向分布概率统计图。读图,回答问题。

第1题,共3个问题
(单选题)"极强度"石漠化出现概率最高的坡向在()。
A:南坡
B:北坡
C:西南坡
D:东北坡
第2题,共3个问题
(单选题)"潜在"石漠化出现的坡度一般在()。
A:5°~10°
B:10°~15°
C:15°~30°
D:35°~40°
第3题,共3个问题
(单选题)造成贵州省石漠化严重的主要自然原因有()。 ①位于非季风区,气候干旱 ②地形崎岖,流水侵蚀作用强 ③毁林开荒,植被破坏严重 ④喀斯特地貌广布,土层较薄
A:①③
B:②④
C:②③
D:①④