自考题库
首页
所有科目
自考历年真题
考试分类
关于本站
游客
账号设置
退出登录
注册
登录
出自:经济学
《全国中小学勤工俭学财务管理暂行办法》颁布的时间是()。
A:1982年
B:1983年
C:1984年
D:1985年
什么是人力资本投资以及其投资形式?
教育在社会活动各个领域所产生的效益称为()
A:私人效益
B:非经济效益
C:直接经济效益
D:外溢效益
边际效用递减是由于()。
A:人的欲望是有限的
B:商品有多种用途及人的欲望本身的特点
C:人的欲望的多样性
D:商品用途的多样性
后发优势
肯德基为什么要在中国改变自己一贯的经营策略?
下列产品组中,哪一组产品的交叉价格弹性为负值()。
A:汽车和轮胎
B:花生油和豆油
C:棉布和化纤布
D:大米和面粉
连锁企业采购计划的流程是怎样的?它受哪些因素影响?
餐饮市场营销组合
消费者购买产品时能够接受的最高价格总额称为:()
A:期望价格
B:均衡价格
C:总需求价格
D:总供给价格
中央银行的在公开市场上购买政府债券就会增加货币供给量。
下列几组商品的交叉价格弹性为负向的有()
A:面粉和大米
B:汽油和汽车
C:羊肉和牛肉
D:录音机和磁带
通常我们将环境因素分析中高机会、低威胁的企业认为是()
A:理想的企业
B:冒险的企业
C:成熟的企业
D:困难的企业
近代农业
下列属于集约型经济增长方式的是()
A:扩大生产场地
B:添加原有技术水平的机器设备
C:增多劳动力投人
D:增加资金、设备、原材料的利用率
验证现有的经济理论与实际是否相符的产业经济学研究方法是()。
A:案例研究方法
B:统计计量研究方法
C:均衡分析方法
D:博弈论分析方法
运输项目的经济效益有哪几种类型?
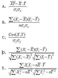
下列相关系数算式中,正确的是()。
A:A
B:B
C:C
D:D
E:E
资产阶级政治经济学的整个思想体系是为()
A:各个阶级的共同利益服务的
B:无产阶级的经济利益服务的
C:资产阶级的经济利益服务的
D:小资产阶级的利益服务的
怎样正确认识凯恩斯的宏观经济政策理论?
外部效应可以产生于()。
A:人们的消费行为而不是生产行为
B:人们的生产行为而不是消费行为
C:人们的消费行为和生产行为
D:只能产生于消费与生产之间
简述马克思经济学方法的形成。
经济创新的主体是企业家。
某投资方案贴现率18%时净现值为-3.17,贴现率16%时净现值为6.12,则该方案的内部报酬率为()
A:14.68%
B:16.68%
C:17.32%
D:18.32%
资本主义绝对地租产生的原因和条件是()。
A:不同地块土地肥沃程度的判别
B:对土地的资本主义经营垄断
C:对土地私有权的垄断
D:农业资本有机构成低于工业资本有机构成
E:农业资本有机构成高于工业资本有机构成
资本主义再生产周期经历哪些阶段?
迄今为止,中国在南极大陆共建了4个科学考察站,依次是()。
A:长城站、中山站、泰山站、昆仑站
B:中山站、长城站、昆仑站、泰山站
C:长城站、中山站、昆仑站、泰山站
D:泰山站、长城站、中山站、昆仑站
按照凯恩斯的观点,人们需要货币,是出于()
A:交易动机
B:谨慎动机
C:不想获得利息
D:投机动机
E:以上说法均不正确
在产品市场收入决定模型中,消费曲线与45度线交点的产出水平表示()。
A:净投资支出大于零时的GDP水平
B:均衡的GDP水平
C:消费C和投资相等
D:消费恰好等于收入
按照商品的需求收入弹性的规律,钻石戒指的需求收入弹性最可能是()
A:-2
B:0
C:0.5
D:5
首页
<上一页
529
530
531
532
533
下一页>
尾页