自考题库
首页
所有科目
自考历年真题
考试分类
关于本站
游客
账号设置
退出登录
注册
登录
出自:汽车修理工
装传动轴时,十字轴劲如有压痕,压痕不严重且不在传力面时,可将十字轴由原装配位60、装传动轴时,十字轴劲如有压痕,压痕不严重且不在传力面时,可将十字轴由原装配位置旋转()°装复。
A:30
B:60
C:70
D:75
通常集成电路里程表读数的校正,只能在新车初驶的()千米内进行。
矿用汽车液压系统中存有空气带来的危害是()
A:振动和噪声
B:油温升高
C:油温降低
D:没什么危害
量规是用来测量()几何量的测量器具。
A:特定
B:长度
C:角度
D:常见
轴与孔的配合一般有间隙、()、()三种。
轿车大多采用一体式空调,其()是置于一个通道内的。
A:蒸发器与冷凝器
B:散热器与冷凝器
C:蒸发器与散热器
D:冷凝器与风机
汽车的操纵稳定性是指汽车在一般行驶速度范围内行驶时,能保证乘坐者不致因车身振动而引起不舒服和疲劳的感觉,以及保持所运货物完整无损的性能。
四冲程柴油机在工作时,混合气体是()的。
A:点燃
B:压燃
C:点燃、压燃均可
D:其它三个选项均不对
所有的汽车诊断仪都配备外置测试卡。
()的作用是使储气筒的气压保持在规定范围内,以减小发动机的功率消耗。
A:泄压阀
B:单向阀
C:限压阀
D:调压器
在汽车电源电路中,点燃大客车的日光灯,低压直流电需要通过()处理后,再进行升压才能得到可用的电压。
A:变压器
B:稳流器
C:硅整流器
D:逆变器
交流发电机的调节器只有()。
EGR Valve的中文意思是,()。
斜盘式汽车空调压缩机的润滑,主要是依靠()润滑方式进行的。
A:飞溅
B:压力
C:制冷剂中带有润滑油进行自然循环润滑
D:重力
关于汽车空调的过热开关,下列说法中正确的是().
A:安装在制冷系高压管道上
B:当制冷系处于高温高压时开关闭合
C:主要是保证压缩机充分润滑
D:当制冷剂泄漏,制冷系将产生低温低压现象
零件在装配时清洁不当,导致零件加速磨损,此类磨损为()。
A:磨料磨损
B:黏着磨损
C:疲劳磨损
D:腐蚀磨损
发动机曲轴轴承异响的主要原因有()。
A:缸盖固定螺栓松动
B:连杆弯曲变形
C:曲轴径向间隙过大
D:机油压力较低
维修人员要随时整理、整顿场地,保持清洁。
元件PROM表示()。
A:只读存储器
B:可编程只读存储器
C:随机存储器
D:微处理器
技师论文选题时,宜选择题目较小、范围较窄的课题。
关于自动变速器,汽车行驶时,ATF的温度()发动机冷却液的温度。
A:高于
B:低于
C:等于
D:以上都不正确
游标卡尺使用后,( )擦净涂油。
A:不要
B:避免
C:要
D:防止
L形燃烧室火焰传播距离长,没有挤气涡流的生成,火焰传播(),燃烧初期的火焰()。
化油器发动机油路产生气阻将导致发动机()。
A:运行不稳
B:不能启动
C:爆振
D:冒黑烟
关于汽车上制动信号灯,当踩下制动踏板时立即发亮。
自动变速器是按照()决定变档的时刻的。
A:油液压力变化
B:变矩器的变化
C:车速变化
D:车速和油门开度
转向器的功用是增大由转向盘传到转向节的力,并改变力的传递方向。
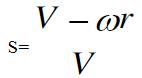
制动车轮的滑移率S为:
检查裂纹:一般用()法检查曲轴表面是否有裂纹。
汽车整机、总成或零件故障分布规律。
首页
<上一页
521
522
523
524
525
下一页>
尾页