自考题库
首页
所有科目
自考历年真题
考试分类
关于本站
游客
账号设置
退出登录
注册
登录
出自:农学
斯蒂芬-波耳兹曼定律
滑动面
脱落酸的结合位点是()。
A:只与细胞质膜专一结合
B:只与细胞核专一结合
C:只与线粒体专一结合
D:只与细胞质专一结合
任何一种生物个体,总是要有序地经历发生、发展和死亡等时期,人们把一生物体从发生到死亡所经历的过程称为()。
高产群体质量指标
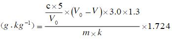
采用水合热重铬酸钾容量法测定土壤有机质时,结果的计算公式为土壤有机质
式中1.3的含义是(),1.724的含义是()
常见的几种酵母菌
乙烯利的化学名称叫什么?在生产上主要应用于哪些方面?
水稻的“三系”指雄性不育系、()、()
初生胚柄
假设某一试验资料结果分析已经计算出了多重比较的最小极显著极差值—LSRα表,试用标记字母法将多重比较的结果表示出来。
腐烂
被子植物花粉粒的结构比裸子植物(如松树) 的简单。
次生射线中,位于木质部的称木射线,位于韧皮部的称韧皮射线,两者合称()
A:髓射线
B:维管射线
C:初生射线
D:联合射线
倒向羽裂叶
合欢树的花中呈现美丽颜色的是()。
A:雄蕊
B:雌蕊
C:花冠
D:花萼
幼苗立枯病症状的主要类型有什么。
覆瓦状
什么是超微量元素?
哪类杂草用轮作的方法防除最理想?
一般吸气口的面积约为排风口面积的()。
不同梨树种类对梨黑星病有抗病性差异,其最感病的是()。
A:中国梨
B:日本梨
C:西洋梨
D:香水梨
平行脉中又可分为()、()和()平行脉。
田间试验设计主要遵循三条原则()()()。
什么叫摘心、剪梢疏芽、疏梢、疏枝?
论述地形对土地资源利用的影响。
呼吸作用与光合作用有何区别与联系?
一朵花中,具一枚雌蕊,以后只形成一个果实,称为()果,一朵花中,有许多离生雌蕊,以后每一雌蕊形成一个小果,相聚在同一花托之上,称为()果,由整个花序所形成的果实称为()果。
双低油菜
台风的生成需要有合适的地转偏向力,大多数台风生成于南北纬()度的洋面上。
A:0-5
B:20-30
C:5-20
D:30度以上
首页
<上一页
518
519
520
521
522
下一页>
尾页