自考题库
首页
所有科目
自考历年真题
考试分类
关于本站
游客
账号设置
退出登录
注册
登录
出自:基础考试
明渠均匀流的流量一定,当渠道断面形状、尺寸和壁面粗糙一定时,正常水深随底坡增大而:()
A:增大
B:减小
C:不变
D:不确定
25℃时CaCO
3
的溶解度在()最小。
A:0.05mol·L
-1
的AgN0
3
溶液
B:0.05mol·
-1
L的CaCl
2
溶液
C:0.01mol·L
-1
的NaCl溶液
D:纯水
图示结构各杆长L,EI=常量,C点两侧截面的相对转角ψ
c
为()。
A:A
B:B
C:C
D:D
p
z
波函数角度分布的形状是()。
A:双球形
B:球形
C:四瓣梅花形
D:橄榄形
下列物质中,分子的空间构型为"V"字形的是()。
A:CO
2
B:BF
3
C:BeCl
2
D:H
2
S
从事地基基础工程检测及见证试验的单位,必须具备县级以上建设行政主管部门颁发的资质证书和计量行政主管部门颁发的计量认证合格证书。
下列选项中,哪些是描述岩体强度特征的力学参数()
A:单轴抗压强度
B:单轴抗拉强度
C:三轴抗压强度
D:抗剪强度
E:弹性模量
图示平底单宽渠道闸下出流,闸前水深H=2m,闸后水深h=0.8m,不计水头损失,则闸后流速v
2
为:()
A:4.14m/s
B:3.87m/s
C:6.11m/s
D:5.29m/s
岩石点荷载强度试验中试验数量越多,成果精度越高。
真空中有两根互相平行的无限长直导线L
1
和L
2
,相距0.1m。通有方向相反的电流,I
1
=20A,I
2
=10A,a点位于L
1
L
2
之间的中点,且与两导线在同一平面内,如图所示,则a点的磁感应强度为()。
A:0
B:(100/π)μ
0
T
C:(200/π)μ
0
T
D:(300/π)μ
0
T
土坡高度为8m,土的内摩擦角
=10°(Ns=9.2),c=25kPa,γ=18kN/m
3
,其稳定安全系数为:()
A:1.5
B:0.7
C:1.6
D:1.4
如图,上部为气体下部为水的封闭容器装有U形水银测压计,其中1、2、3点位于同一平面上,其压强的关系为:()
A:P
1
B:p
1
>p
2
>p
3
C:p
2
D:p
1
=p
2
=p
3
建筑物的变形观测包括沉降观测、倾斜观测和()。
A:位移观测
B:竖直观测
C:水平观测
D:应变观测
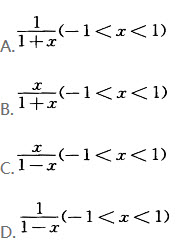
幂级数
的和函数是()
A:A
B:B
C:C
D:D
地形测量中,地物点的测定方法有下列中的哪几种方法?()Ⅰ.极坐标法Ⅱ.方向交会法Ⅲ.内插法Ⅳ.距离交会法Ⅴ.直角坐标法Ⅵ.方向距离交会法
A:Ⅰ、Ⅱ、Ⅲ、Ⅳ、Ⅴ
B:Ⅰ、Ⅱ、Ⅳ、Ⅴ、Ⅵ
C:Ⅰ、Ⅲ、Ⅳ、Ⅴ、Ⅵ
D:Ⅱ、Ⅲ、Ⅳ、Ⅴ、Ⅵ
换土垫法在处理浅层软弱地基时,垫层厚度符合下列哪一项要求()
A:垫层底面处土的自重压力与附加压力之和不大于同一标高处软弱土层经宽度修正后的承载力特征值
B:垫层底面处土的自重压力不大于同一标高处软弱土层经宽度修正后的承载力特征值
C:垫层底面处土的自重压力与附加压力之和不大于同一标高处软弱土层经深度修正后的承载力特征值
D:垫层底面处土的附加应力不大于同一标高处软弱土层经宽度、深度修正后的承载力特征值
在图示四种应力状态中,关于应力圆具有相同圆心位置和相同半径者,有下列答案:()
A:(a)与(d)
B:(b)与(c)
C:(a)与(d)及(c)与(b)
D:(a)与(b)及(c)与(d)
某一个三相异步电动机的额定功率P
n
=15kW,额定电压U
n
=380V,额定转速n
n
=1450r/min,起动转矩T
st
是额定转矩T
st
的2.2倍。电动机的起动转矩T
st
等于()N·m。
A:98.8
B:217.4
C:217.4×103
D:98.8×103
关于地基承载力特征值的宽度修正式η
b
γ(b-3),下列说法
不正确
的是:()
A:η
b
γ(b-3)的最大值为3η
b
γ
B:η
b
γ(b-3)总是大于或等于0,不能为负值
C:η
b
可能等于0
D:γ取基底以上土的重度,地下水以下取浮重度
如图所示电路的戴维南等效电压源的U
s
和R
0
分别为()。
A:RI
s
+U
s1
;0
B:-RI
s
+U
s1
;R
C:RI
s
-U
s1
;R
D:RI
s
+U
s1
;R
砌体房屋伸缩缝的间距与下列哪些因素有关?()Ⅰ.屋盖或楼盖的类别Ⅱ.砌体的类别Ⅲ.砌体的强度等级Ⅳ.环境温差
A:Ⅰ、Ⅱ、Ⅲ
B:Ⅰ、Ⅲ、Ⅳ
C:Ⅰ、Ⅱ、Ⅳ
D:Ⅰ、Ⅲ
表面应变法测试岩体应力的方法主要包括()。
A:水压致裂法
B:表面应力解除法
C:表面应力恢复法
D:钻孔套心应力解除法
乳化沥青与石油沥青相比()
A:温度稳定性较高
B:温度稳定性较低
C:与矿质集料的黏附性较好
D:与矿质集料的黏附性较差
质量为m,半径为R的均质圆盘,绕垂直于图面的水平轴O转动,其角速度为w,在图示瞬时,角加速度为零,盘心C在其最低位置,此时将圆盘的惯性力系向O点简化,其惯性力主矢和惯性力主矩的大小分别为:()
A:A
B:B
C:C
D:D
固结系数的确定方法有()
A:三轴压缩试验法
B:直接剪切试验法
C:时间对数法
D:时间平方根法
图示结构(杆件截面为矩形)在温度变化时,已知t
1
>t
2
。若规定内侧受拉的弯矩为正,则各杆端弯矩为:()
A:A
B:B
C:C
D:D
在定平面Oxy内,杆OA可绕轴O转动,杆AB在点A与杆OA铰接,即杆AB可绕点A转动。该系统称为双摆,其自由度数为:()
A:1个
B:2个
C:3个
D:4个
某电磁波测距仪的标称精度为±(3+3ppm)mm,用该仪器测得500m距离,如不顾及其他因素影响,则产生的测距中误差为:()
A:±18mm
B:±3mm
C:±4.5mm
D:±6mm
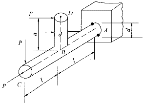
图示钢制竖直杆DB与水平杆AC刚接于B,A端固定,P、ι、a与圆截面杆直径d为已知。按第三强度理论,相当应力σ
r3
为:()
A:A
B:B
C:C
D:D
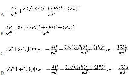
图示匀质杆AB长ι,质量为m。点D距点A为1/4L。杆对通过点D且垂直于AB的轴y的转动惯量为:()
A:A
B:B
C:C
D:D
首页
<上一页
50
51
52
53
54
下一页>
尾页