自考题库
首页
所有科目
自考历年真题
考试分类
关于本站
游客
账号设置
退出登录
注册
登录
出自:基础考试
图5-5-9所示任意截面已知面积为A,形心为C,对z轴的惯性矩为I,则截面对z
1
轴的惯性矩I
z1
为:()
A:A
B:B
C:C
D:D
一平面简谐波的波动方程为
。t=0.25s时,处于平衡位置,且与坐标原点x=0最近的质元的位置是:()
A:±5m
B:5m
C:±1.25m
D:1.25m
图示四个悬臂梁中挠曲线是圆弧的为()。
A:A
B:B
C:C
D:D
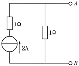
将图示的二端网络等效化简为一个电压源U
s
和一个电阻R
0
串联的最简网络,则U
s
和R
0
分别为()。
A:1V;1Ω
B:1V;2Ω
C:2V;0.5Ω
D:2V;1Ω
单项或单元工程锚杆无损检测数量为()。
A:10%抽检
B:全部检测
C:不少于20根
D:以上答案都不会面
已知柠檬醛的结构式为
,下列说法
不正确
的是:()
A:它可使KMnO
4
溶液褪色
B:可以发生银镜反应
C:可使溴水褪色
D:催化加氢产物为C
10
H
20
O
为了确定信息在网络传输过程中是否被他人篡改,一般采用的技术是()。
A:防火墙技术
B:数据库技术
C:消息认证技术
D:文件交换技术
有两列沿相反方向传播的相干波,其波动方程分别为y
1
=Acos2π(vt-x/λ)和y
2
=Acos2π(vt+x/λ)叠加后形成驻波,其波腹位置的坐标为:()
A:x=±kλ
B:x=±1/2(2k+1)λ
C:x=±1/2kλ
D:x=±(2k+1)λ/4(其中k=0,1,2,…)
质量为m的质点M,受有两个力F和R的作用,产生水平向左的加速度a,它在z轴方向的动力学方程为:()
A:ma=F-R
B:-ma=F-R
C:ma=R+F
D:-ma=R-F
根据静水压强的特性,静止液体中同一点各方向的压强:()
A:数值相等
B:数值不等
C:仅水平方向数值相等
D:铅直方向数值最大
矩形截面杆AB,A端固定,B端自由。B端右下角处承受与轴线平行的集中力F,杆的最大正应力是()。
A:A
B:B
C:C
D:D
含水层的导水系数厂,可以反应()。
A:含水层的透水能力
B:含水层的厚度
C:含水层的出水能力
D:含水层的通过水的能力
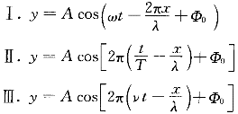
一平面简谐波沿x轴正向传播,已知波长λ,频率ν,角频率w,周期T,初相Φ,则下列表示波动方程的式子中,哪几个是正确的?()
A:Ⅰ
B:Ⅰ、Ⅱ
C:Ⅱ、Ⅲ
D:Ⅰ、Ⅱ、Ⅲ
关于图5-9-6所示单元体属于哪种应力状态,有下列四种答案:()
A:单向应力状态
B:二向应力状态
C:三向应力状态
D:纯剪应力状态
下列说法中错误的是()。
A:取代反应仅限于烷烃上的氢原子被其他原子或原子团替代的反应
B:苯的氯化、硝化和烷基化都属于取代反应
C:有机化学中,氧化反应一般是指分子中加氧或去氢的反应
D:不饱和烃可发生加成反应
砌体在轴心受压时,块体的受力状态为:()
A:压力
B:剪力、压力
C:弯矩、压力
D:弯矩、剪力、压力、拉力
可以改善地基土抗震特性的加固方法有()
A:振动碾压
B:换土垫层
C:振冲
D:强夯
平面渗透系数可称水平渗透系数,指水流经织物平面方向流动时的透水性指标,试验原理不按达西定律。
杆OA受竖向力
及力偶的作用处于平衡状态。力偶矩m为α角的函数,力
作用点到轴O的距离OK=b,杆的虚位移δα如图所示。杆上主动力的虚功之和应为()。
A:A
B:B
C:C
D:D
空气的粘滞系数与水的粘滞系数μ分别随温度的降低而:()
A:降低,升高
B:降低,降低
C:升高,降低
D:升高,升高
铜原子的价层电子排布式为()。
A:A
B:B
C:C
D:D
当力P直接作用在简支梁AB的中点时,梁内的σ
max
超过许用应力值30%。为了消除过载现象,配置了如图所示的辅助梁CD,则此辅助梁的跨度a的长度应为:()
A:1.385m
B:2.77m
C:5.54m
D:3m
在作为存储容量的单位时,1G、1T、1M、1K分别表示2的次方数为()。
A:40、30、20、10
B:10、20、30、40
C:30、40、20、10
D:20、40、30、10
关于因特网,以下说法错误的是()。
A:从网络设计者角度考虑,因特网是一种计算机互联网
B:从使用者角度考虑,因特网是一个信息资源网
C:连接在因特网上的客户机和服务器被统称为主机
D:因特网利用集线器实现网络与网络的互联
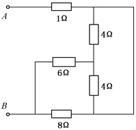
如图所示电路的等效电阻R
AB
为()Ω。
A:4
B:5
C:6
D:8
已知杆AB和杆CD的自重不计,且在C处光滑接触,若作用在杆AB上的力偶的矩为m
1
,则欲使系统保持平衡,作用在CD杆上的力偶矩m
2
,转向如图所示,其矩的大小为:()
A:m
1
=m
2
B:
C:m
2
=2m
1
D:m
2
=3m
1
一束自然光通过两块叠放在一起的偏振片,若两偏振片的偏振化方向间夹角由α
1
转到α
2
,则转动前后透射光强度之比为:()
A:A
B:B
C:C
D:D
等截面直杆受力F作用发生拉伸变形。已知横截面面积为A,则横截面上的正应力和45°斜截面上的正应力分别为:()
A:A
B:B
C:C
D:D
土体颗粒分析的试验分析有()
A:筛分法
B:密度计法
C:移液管法
D:灌水法
E:灌砂法
图示结构,各杆EI=常数,截面C、D两处的弯矩值M
C
、M
D
(对杆端顺时针转为正)分别为(单位:kN·m):()
A:1.0,2.0
B:2.0,1.0
C:-1.0,-2.0
D:-2.0,-1.0
首页
<上一页
49
50
51
52
53
下一页>
尾页