自考题库
首页
所有科目
自考历年真题
考试分类
关于本站
游客
账号设置
退出登录
注册
登录
出自:电气工程公共基础
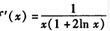
已知
,且f(1)=1,则f(x)等于().
A:
B:
C:
D:
关于电压比测量的目的以下说法
不正确
的是()。
A:保证绕组各分接的电压比在标准或合同技术要求的电压比允许范围之内。
B:确定并联线圈或线段的匝数相同。
C:判定绕组分接的引线和分接开关的连接是否正确。
D:判定绕组个分接的电阻是否正确。
已知单自由度系统的振动固有频率ω=2rad/s,若在其上分别作用幅值相同而频率ω1=1rad/s,ω2=2rad/s,ω3=3rad/s的简谐干扰力,则此系统强迫振动的振幅为()。
A:ω1=1rad/s时振幅最大
B:ω2=2rad/s时振幅最大
C:ω3=3rad/s时振幅最大
D:不能确定
设高温热源的热力学温度是低温热源的热力学温度的n倍,则理想气体在一次卡诺循环中,传给低温热源的热量是从高温热源吸取的热量的()。
A:n倍
B:n-1倍
C:倍
对于水平排列的跌落式熔断器,正常情况下停电时应先拉( )相。
A:边相
B:中间
C:任一
依据《行政许可法》的规定,可以不设行政许可的事项是()。
A:直接关系公共利益的特定行业的市场准入,需要赋予特定权利的
B:企业的设立,需要确定主体资格的
C:直接关系人身健康,需要按照法定条件予以批准的
D:行业组织或者中介机构能够自律管理的
促进业务发展不需要()。
A:客户满意度提升
B:理解业务
C:管理支持
D:提前投入
用短路法做变压器的温升试验适应于()变压器
A:油浸式
B:干式
C:所有
D:风冷
0.1mol·L-1HAc和等体积的NaAc混合,欲使溶液的pH为5,混合的酸和盐的浓度比应是(已知)()。
A:1.76
B:1/1.76
C:102.5
D:10-2.5
在设计同步时序电路时,检查到不能自行启动时,则()。
A:只能用反馈复位法清零
B:只能用修改驱动方程的方法
C:必须用反馈复位法清零并修改驱动方程
D:可以采用反馈复位法(置位法),也可以采用修改驱动方程的方法保证电路能白行启动。
自流完全井的产水量的大小与()成正比。
A:井的半径
B:井的影响半径
C:含水层厚度
D:土壤渗流系数的平方
制定阶段性质量控制计划,是实施阶段性质量控制的。()
A:基础
B:难点
C:有效手段
D:目的
能够比较方便构成顺序脉冲信号发生器的电路是()。
A:环形计数器
B:扭环形计数器
C:移位寄存器
D:序列信号检测器
圆管紊流光滑区的沿程损失系数λ()。
A:只与雷诺数Re有关
B:与管壁相对粗糙度k/d有关
C:与Re及k/d有关
D:与Re和管长,有关
图4-24中,均质杆AB重力为F,用铅垂绳CD吊在天花板上,A、B两端分别靠在光滑的铅垂墙面上,则A、B两端约束力的大小是()。
A:A、B两点约束力相等
B:B点约束力大于A点约束力
C:A点约束力大于B点约束力
D:无法判断
如果计算机字长是8位,那么用原码表示最大有符号定点整数的范围是()。
A:-128~+127
B:-127~+128
C:-127~+127
D:-128~+128
相位全息图
垂直于x轴的动直线与过原点的曲线y=y(x)(x≥0,y≥0)以及x轴围成一个以[0,x]为底边的曲边梯形,其面积为y3(x).函数y(x)的隐函数形式是().
A:y2-x=0
B:y2+x=0
C:3y2-2x=0
D:2y-3x2=0
在起重作业中,选择钢丝绳种类的原则是什么?
ABS树脂是下列哪几种物质的共聚物?()
A:丙烯腈、乙烯
B:丙烯腈、l,3-丁二烯、苯乙烯
C:苯烯腈、1,3-丁二烯
D:乙烯腈、苯
什么叫做流体的可压缩性?
对有限资源开发利用、公共资源配置以及直接关系公共利益的特定行业的市场准入等,需要赋予特定权利的事项,设定行政许可的方式是()。
A:特许许可
B:认可许可
C:核准许可
D:登记许可
一人在地面上手持发音体垂直向一高墙以5m/s的速度运动,发音体的频率为1500Hz,空气中的声速为340m/s,人接收到的经高墙反射回来的频率是()。
A:1544Hz
B:1522Hz
C:1457Hz
D:87Hz
已知|a|=2,|b|=,a·b=2,则|a×b|为().
A:2
B:2
C:4
D:
干扰形式有两种:_________、_________。
发电厂中适用于陡降型性能曲线的泵有()。
A:给水泵
B:凝结水泵
C:循环水泵
D:都是
磁感应强度B=f/il(B-磁感应强度,f-导体所受电磁力,i-导体中的电流,l-导体的有效长度)所反映的物理量间的依赖关系是( )
A:B由f、i和l决定
B:f由B、i和l决定
C:i由B、f和l决定
POS技术提供的高速传输通道直接传送IP数据业务,它使用()协议对数据进行封装。
A:PPP
B:TCPIP
C:UDP
D:FTP
分裂绕组变压器是将普通的双绕组变压器的低压绕组在电磁参数上分裂成两个完全对称的绕组,这两个绕组之间()。
A:没有电的联系,只有磁的联系
B:在电磁上都有联系
C:有电的联系,在磁上没有联系
D:在电磁上都无任何联系
已知某圆管水流的雷诺数Re=2000,则该管的沿程阻力系数A=()。
A:0.028
B:0.032
C:0.064
D:31.25
首页
<上一页
49
50
51
52
53
下一页>
尾页