自考题库
首页
所有科目
自考历年真题
考试分类
关于本站
游客
账号设置
退出登录
注册
登录
出自:基础考试
无腹筋钢筋混凝土梁沿斜截面的抗剪承载力与剪跨比的关系是:()
A:随剪跨比的增加而提高
B:随剪跨比的增加而降低
C:在一定范围内随剪跨比的增加而提高
D:在一定范围内随剪跨比的增加而降低
图5-10-10所示等直圆杆,抗弯截面系数为W,杆内最大正应力σ
max
为:()
A:21Pd/W
B:27Pd/W
C:39Pd/W
D:15Pd/W
如图所示的直流电路中,E=6V,R
1
=100Ω,R
2
=50Ω,L=20mH,那么I
1
、I
2
分别为()A。
A:0.06、0.12
B:0.18、0
C:0.06、0.08
D:0.12、0.18
已知承压含水层的厚度t=7.5m,用完全井进行抽水试验,在半径,r
1
=6m、r
2
=24m处,测得相应的水头降落s
1
=0.76m、s
2
=0.44m,井的出流量Q=0.01m
3
/s,则承压含水层的渗流系数k为:()[注:
,R为影响半径]
A:9.2×10
-3
m/s
B:8.2×10
-4
m/s
C:9.2×10
-4
m/s
D:8.2×10
-3
m/s
岩石颗粒密度测试的常用方法有()。
A:比重瓶法
B:量积法
C:密封法
D:水中称量法
将函数
,在[-π,π]上展开成傅里叶级数,其形式为
()
A:A
B:B
C:C
D:D
图示T形截面杆,一端固定一端自由,自由端的集中力F作用在截面的左下角点,并与杆件的轴线平行。该杆发生的变形为:()
A:绕y和z轴的双向弯曲
B:轴向拉伸和绕儿y、z轴的双向弯曲
C:轴向拉伸和绕z轴弯曲
D:轴向拉伸和绕y轴弯曲
图示体系的自振频率(不计竖杆自重)为:()
A:A
B:B
C:C
D:D
图所示三铰刚架A、B支座处反力方向一定通过()。
A:C点
B:D点
C:E点
D:F点
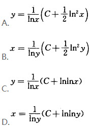
微分方程ylnydx+(x-lny)dy=0的通解为()
A:A
B:B
C:C
D:D
下列分子中键有极性,分子也有极性的是()。
A:NH
3
B:SiF
4
C:BF
3
D:CO
2
下列基团不是烃基的是()。
A:A
B:B
C:C
D:D
在粘性土的土坡稳定分析中,对于非均质土坡或较复杂土坡的适用方法是()
A:摩擦圆法
B:泰勒分析法
C:条分法
D:分层总和法
我国采用的岩体变形试验的稳定标准是()。
A:以一定时间内变形的绝对变化值为标准
B:以一定时间内变形的相对变化为标准
C:以时间作为变形稳定标准
D:以一定时间内作为变形稳定标准
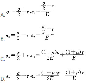
纯剪切应力状态如图5-9-10。设a=135°,求沿n方向的正应力,σ
a
和线应变ε
a
。E、v分别为材料的弹性模量和泊松比,现有四种答案:()
A:A
B:B
C:C
D:D
在基坑开挖中可以减缓或避免地下水的渗透变形和渗透破坏施工中常采用的方祛()。
A:在基坑周围打入钢筋混凝土灌注桩
B:在基坑周围打入止水椎幕
C:在基坑周围采用拉锚护坡
D:在基坑周围采用土钉墙的方法护坡
已知图示结构EI=常数,A、B两点的相对水平线位移为:()
A:A
B:B
C:C
D:D
设F(x)是f(x)的一个原函数,则∫e
-x
f(e
-x
)dx等于下列哪一个函数?()
A:F(e
-x
)+c
B:-F(e
-x
)+c
C:F(e
x
)+c
D:-F(e
x
)+c
井点降水中的管井降水的适用条件为()。
A:渗透系数为1.0~20m/d的砂土、粉土
B:碎石土、可溶岩及破碎带
C:地下水类型为含水丰富的潜水、承压水或裂隙水
D:渗透系数为1.0~200m/d的砂土、粉土
平面应力状态如图所示,下列结论中正确的是:()
A:A
B:B
C:C
D:D
某投资项目,当基准折现率取15%时,项目的净现值等于零,则该项目的内部收益率:()
A:等于15%
B:大于15%
C:等于0
D:小于15%
将运算放大器直接用于两信号的比较,如图所示,其中,U
i1
=-1V,U
i2
的波形由图(b)给出,则输出电压U
0
等于()。
A:u
i2
B:-u
i2
C:正的饱和值
D:负的饱和值
对构件进行抗震验算时,以下哪几条要求是正确的?( ) Ⅰ.结构构件的截面抗震验算应满足
Ⅱ.框架梁端混凝土受压区高度(计入受压钢筋)的限值:一级x≤0.25h
0
,二、三级x≤0.35h
0
Ⅲ.框架梁端纵向受拉钢筋的配筋率不宜大于2.5% Ⅳ.在进行承载能力极限状态设计时不考虑结构的重要性系数
A:Ⅰ、Ⅲ、Ⅳ
B:Ⅰ、Ⅱ、Ⅳ
C:Ⅰ、Ⅱ、Ⅲ
D:Ⅰ、Ⅱ、Ⅲ、Ⅳ
平面平行力系处于平衡状态时,应有独立的平衡方程个数为:()
A:1
B:2
C:3
D:4
一定量的理想气体,由一平衡态P
1
,V
1
,T
1
变化到另一平衡态p
2
,V
2
,T
2
,若V
2
>V
1
,但T
2
=T
1
,无论气体经历什么样的过程:()
A:气体对外做的功一定为正值
B:气体对外做的功一定为负值
C:气体的内能一定增加
D:气体的内能保持不变
某带壁柱砖墙及轴向压力的作用位置如图所示,设计时,轴向压力的偏心距P不应大于多少?()
A:161mm
B:193mm
C:225mm
D:321mm
土工合成材料的常规厚度是指在多大压力下的试样厚度?()
A:2kPa
B:20kPa
C:100kPa
D:200kPa
按地基处理作用机理,强夯法属于()。
A:土质改良
B:土的置换
C:土的补强
D:土的化学加固
图示矩形截面,m—m线以上部分和以下部分对形心轴z的两个静矩:()
A:绝对值相等,正负号相同
B:绝地值相等,正负号不同
C:绝地值不等,正负号相同
D:绝对值不等,正负号不同
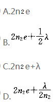
波长为λ的单色平行光垂直入射到薄膜上,已知n
1
>n
3
,如图所示。则从薄膜上、下两表面反射的光束①与②的光程差是:()
A:A
B:B
C:C
D:D
首页
<上一页
48
49
50
51
52
下一页>
尾页