自考题库
首页
所有科目
自考历年真题
考试分类
关于本站
游客
账号设置
退出登录
注册
登录
出自:电气工程公共基础
继电保护的可靠性是指保护在应动作时_________,不应动作时_________。
《建设工程安全生产管理条例》规定,采用新结构、新材料、新工艺的建设工程和特殊结构的建设工程,设计单位应当在设计文件中()。
A:对施工的重点部位和环节加以注明,并对防范生产安全事故提出指导意见
B:提出保障施工作业人员安全和预防生产安全事故的指导意见
C:对涉及施工的重点部位和环节加以注明,并对防范生产安全事故提出措施建议
D:提出保障施工作业人员安全和预防生产安全事故的措施建议
信息系统工程是指以信息技术为主要手段建立的()。
A:信息网络系统
B:资源系统
C:应用系统的新建、升级、改造工程
D:防护系统
变压器损耗测量时所用的仪器仪表准确级最低应为几级?
图示混凝土锚锭。设混凝土墩重为1000kN,它与土壤之间的静摩擦系数f=0.6,若铁索与水平线夹角α=30°,则不致使混凝土墩滑动的最大拉力为()。
A:866kN
B:666kN
C:514kN
D:500kN
对于稳态正弦交流电路,以下说法正确的是()。
A:当元件R、L、C串联时,端口总电压有效值一定大于每个元件电压的有效值
B:当元件R、L、C并联时,L和C支路电流实际反向
C:对于感性电路,当电源频率f增大时,
D:当RLC串联电路谐振时,电路电流达最小值
在实际生活中,下列物质的用途与其物理性质有关的是()
A:氧气用于切割金属
B:稀盐酸能除去水垢
C:铁粉用作食品保鲜剂吸氧剂
D:干冰用于人工降雨
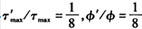
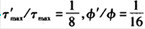
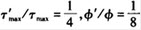
已知圆截面杆扭转时,横截面上的最大剪应力为τmax,两端面间的相对扭转角为φ。若圆杆的直径增大一倍(即为原直径的两倍),则此时的最大剪应力τ’max和相对扭转角φ’与原来的τmax和φ的比值为()。
A:
B:
C:
D:
计算机中,用4个二进制位,给字符编码,最大值是()。
A:32
B:31
C:16
D:15
油浸电力变压器的气体保护装置轻气体信号动作,取气体分析,结果是无色、无味、不可燃,色谱分析为空气,这是变压器()。
A:必须停运
B:可以继续运行
C:不许投入运行
D:要马上检修
相关(包括自相关和互相关)常用来比较两个物理信号的()
A:相似程度
B:不同程度
C:其它关系
极限
的值是()。
A:t
B:-t
C:1
D:-1
恒定水位柱形滤水器如图6-34所示,已知直径d=1.0m,土样高度h=1.2m,渗透系数k=0.01cm/s,土样上部水深H=0.6m,渗流量Q为()L/s。
A:0.0393
B:0.118
C:0.0118
D:0.0785
在起重工作中常用的多股钢丝绳有:6×19,6×37和6×61等几种,上述规范中的数字6表示()。
A:6股
B:6kg
C:6N
D:6t
在需求信息调研之前,为有助于收集有关用户和系统需求的最佳信息,你应该清楚准备确定的需求的类型。下列属于无线网络系统实施中常见的需求类型的是?()
A:系统信息流
B:实施进度表
C:系统移动性
D:系统应用部门及规则
若f(v)为麦克斯韦气体分子速率分布函数,则速率在v1至v2区间内的分子的平均速率应为()。
A:
B:
C:
D:
半径为R的滑轮上绕一绳子,绳与轮间无相对滑动。绳子一端挂一物块,在图示位置物块有速度v和加速度a,M点为滑轮上与铅垂绳段的相切点,则在此瞬时M点加速度的大小为()。
A:0
B:a
C:v2/R
D:
根据我国标准GB/TS50314-2006《智能建筑设计标准》的定义,智能建筑建设的四大构成要素是()。
A:安全舒适高效和可靠
B:简单快捷方便和节能
C:结构系统服务和管理
D:先进适用经济和可扩展
某水泵,转速不变,当输送的水温增加时,泵最高效率点的扬程值()
A:增加
B:降低
C:先增加后降低
D:不变
行政机关对公民、法人或者其他组织从事行政许可事项的活动应当行使()。
A:陈述权
B:申辩权
C:监督权
D:救济权
电流互感器及电压互感器的二次回路必须__________________。
二次曝光法
氦气、氮气、水蒸气(均视为刚性分子理想气体)三者的摩尔数相同,初始状态相同,若使它们在体积不变的情况下吸收相等的热量,则应有()。
A:它们的温度升高相同,压强增加相同
B:它们的温度升高相同,压强增加不相同
C:它们的温度升高不相同,压强增加不相同
D:它们的温度升高不相同,压强增加相同
远点
二进制译码器的功能是将输入的二进制代码译成相应的输出信号,常见的二进制译码器有()。
A:8-3译码器
B:2-4译码器
C:4-16译码器
D:3-8译码器
在选择Wlan无线网卡时,以下哪种接口的网卡可以实现54Mbps传输()
A:USB1.0接口无线网卡
B:USB1.1接口无线网卡
C:USB2.0接口无线网卡
D:802.11b无线网卡
短路法测量变压器温升,油顶层温升测量阶段,施加的是()。
A:额定电流
B:额定电压
C:总损耗
D:负载损耗下电流
将一个时间上连续变化的模拟量转换为时间上断续(离散)的模拟量的过程称为()。
A:采样
B:量化
C:保持
D:编码
变压器空载时,一方加额定电压,虽然线圈(铜耗)电阻很小,电流仍然很小,为什么?
一束光强为I0的自然光,相继通过三个偏振片P1、P2、P3后,出射光的光强为I=I0/8。已知P1和P3的偏振化方向相互垂直,若以入射光线为轴,旋转P2,要使出射光的光强为零,P2最少要转过的角度是()。
A:30°
B:45°
C:60°
D:90°
首页
<上一页
48
49
50
51
52
下一页>
尾页