自考题库
首页
所有科目
自考历年真题
考试分类
关于本站
游客
账号设置
退出登录
注册
登录
出自:专业知识考试
为了避免洪灾损失,应当建立由()组成的防洪系统,保护人民生命财产安全,保障社会经济发展。
A:水土保持与河道整治
B:工程措施与非工程措施
C:一系列工程措施
D:一系列非工程措施
下列说法错误的是()。
A:水土保持设施经验收不合格的,建设工程不得投产使用
B:水土保持监督人员依法执行公务时,应当持有省级以上人民政府颁发的水土保持监督检查证件
C:水土保持生态环境监测工作,应由具有水土保持生态环境监测资格证书的单位承担
D:在水力侵蚀地区实施小流域综合治理,在风力侵蚀地区实施防沙治沙
河堤堤线应与河势流向相适应,并与大洪水的主流线大致()。
A:平行
B:相交
C:垂直
D:交角是锐角
与水库诱发地震有密切关系的工程地质条件有哪些?()
A:岩性
B:地应力
C:地形地貌条件
D:坝高与库容
土体中的细颗粒在渗流作用下,由骨架孔隙通道流失称为()。
A:流土
B:管涌
C:接触冲刷
D:接触流失
边坡滑动时形成的碾压破碎带称为()。
A:滑坡体
B:滑动带
C:滑动面
D:滑坡床
下列
不属于
社会经济调查内容的是()。
A:社会经济状况
B:社会经济意识形态
C:社会经济特征
D:社会经济发展态势
拱坝水平拱圈最大中心角应根据()等因素选择。
A:稳定
B:应力
C:工程量
D:上游面坡度
堤防工程级别根据堤防工程的防洪标准确定,当堤防的防洪标准大于等于30年又小于50年时,堤防工程级别为()级。
A:1
B:2
C:3
D:4
地下水资源保护包括浅层地下水和深层承压水保护。不合理的浅层地下水资源开发利用可能引发相关的生态与环境问题中
不包括
()。
A:海水入侵
B:地面塌陷
C:土地沙化
D:湿地萎缩
决定边坡抗滑力的根本因素是()。
A:岩体风化程度
B:岩土体性质
C:地质构造和岩体结构
D:水的作用
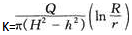
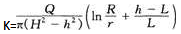
含水层渗透系数K是进行地下水资源评价时必须确定的参数,一般是采用设置抽水试验孔获取相关资料而确定的。在单井稳定流抽水试验时,在承压水完整井的条件下,Q~S关系呈直线时,含水层渗透系数K,用下列()公式(其中Q为出水量,m
3
/d;S为水位下降值,m;M为承压水含水层厚度,m;H为自然状态下潜水含水层的厚度,m;h为潜水含水层在抽水试验时的厚度,m;L为过滤器长度,m;r为抽水井过滤器半径,m;R为影响半径,m)求得。
A:
B:
C:
D:
估算主要工程量和建材需要量,估算工程投资,是()阶段的主要内容之一。
A:项目建议书
B:预可行性研究
C:可行性研究
D:初步设计
顺坝应沿()布置。
A:治导线
B:导线
C:闭合导线
D:支导线
关于项目法人及组成,下列说法正确的是()。
A:项目法人是指为某项工程的建设项目而依法设立的、具有民事权利和民事行为能力、依法独立享有民事权利和独立承担义务的自然人
B:投资各方在酝酿建设项目的同时,即可组建并确定项目法人,做到先有法人、后有项目
C:建设实施阶段项目法人由项目业主(班子)、项目经理(单位)、工程监理单位构成
D:投资各方在酝酿建设项目时,不可组建并确定项目法人,做到先有项目、后有法人
E:项目法人是指为某项工程的建设项目而依法设立的、具有民事权利和民事行为能力、依法独立享有民事权利和独立承担义务的组织
径流分析计算的内容包括()。
A:径流特性分析
B:人类活动对径流的影响分析及径流还原
C:径流资料插补延长
D:径流系列一致性分析
()是指在气流的冲击下,土粒、沙粒或岩石碎屑脱离地表,被搬运和沉积的过程。
A:风力侵蚀
B:重力侵蚀
C:混合侵蚀
D:水力侵蚀
从事建设工程勘察、设计活动,应当坚持的原则是()。
A:先勘察,后设计和施工
B:先勘察和设计,后施工
C:勘察、设计、施工既有先后,又有交叉
D:先勘察,后设计,再施工
墙式护岸适应于()的坍岸段。
A:河道狭窄
B:堤外无滩易受水流冲刷
C:保护对象重要
D:受地形条件或已建建筑物限制
一个年度内通过河流某断面的水量,称为该断面以上流域的年径流量,在资料充分时,以多年平均年径流量代替正常年径流量。用年径流量均值代替正常年径流量,其误差大小取决于()。
A:年份n的多少
B:河流年径流量的变差系数C
v
的大小
C:资料总的代表性
D:河流年径流量的均方差σ的大小
根据沙障在地面的分布形状,大致可将沙障分为()。
A:平铺式沙障
B:直立式沙障
C:带状沙障
D:网状沙障
关于一般清理正确的是()。
A:对较难清除的建筑物,蓄水后应设置可见的标志
B:库区内的废水可以随意排放
C:林木清理后,残留树桩不得超过1.0m
D:农作物秸秆等漂浮物不用清理
进水渠较长时,在控制段之前设置的渐变段长度不宜()。
A:大于2倍堰前水深
B:小于2倍堰前水深
C:小于3倍堰前水深
D:大于3倍堰前水深
初选金属结构设备型式和布置,是()阶段的主要内容之一。
A:项目建议书
B:预可行性研究
C:可行性研究
D:初步设计
()时,防洪库容和兴利库容完全结合。
A:防洪高水位和正常蓄水位重合,防洪限制水位在死水位之上
B:防洪高水位和正常蓄水位重合,防洪限制水位和死水位重合
C:防洪限制水位和正常蓄水位重合,防洪高水位在正常蓄水位之上
D:防洪限制水位和死水位重合,防洪高水位在正常蓄水位之上
以冻融侵蚀为主的类型区有()。
A:新疆天山山地
B:西南土石山区
C:北方土石山区
D:山东黄泛平原区
鱼道可以结合()的布置而设置。
A:岸墙
B:翼墙
C:大坝
D:溢洪道
关于岩石风化作用的描述,正确的是()。
A:风化作用由地表向岩石内部越来越重
B:风化作用使岩石的矿物成分和化学成分发生变化
C:风化作用使岩石的工程地质性质发生恶化
D:风化作用使岩石的结构构造发生变化,使其完整性遭到破坏
喷灌的水利用系数不低于()。
A:0.80
B:0.85
C:0.90
D:0.95
工程分析特别要关注的是()。
A:水体污染状况
B:生态破坏
C:对环境敏感区的影响
D:污染源的分布
首页
<上一页
47
48
49
50
51
下一页>
尾页