自考题库
首页
所有科目
自考历年真题
考试分类
关于本站
游客
账号设置
退出登录
注册
登录
出自:水文勘测工
开展断面浮标系数比测试验时,当受条件限制,浮标法测流的时间不能放在流速仪法测流时间的中间时段时,应在多次试验中的涨、落水分别交换流速仪测流和浮标法测流的先后次序,且交换的次数宜相等,以减小()提高浮标系数的精度。
A:系统误差
B:随机误差
C:偶然误差
D:随机不确定度
河道站水位观测的时间与次数应根据河流特性及水位涨落变化情况(),以测到完整的水位变化过程。
A:确定最大观测次数
B:合理分布
C:确定最小观测次数
D:固定观测次数
在对水位—流量关系点据分布中的突出点的检查分析中,通过与历年()比较,如果发现趋势不一致,可能是因突出点造成定线不当所致。
A:水位过程线
B:流量过程线
C:极值
D:水位—流量关系曲线
水文勘测初级工应能用直观仪器或设施设备观测()和简单计算降雨、蒸发、水位的日值。
A:记得
B:记过
C:记述
D:记载
()等水准测量可应用于水文测站引测基本水准点高程。
A:二
B:三
C:四
D:五
在水文三等水准与四等水准测量中要求不相同的是()。
A:前后视距不等差
B:仪器准备
C:测量结果检查方法
D:记载表项目计算方法
在实测流量中,何种情况下用面积包围法计算相应水位?
悬移质含沙量及颗粒级配测量仪一般可以在现场()含沙量及颗粒级配数值,避免了取样、分析等烦琐程序。
A:直读
B:验证
C:取样
D:分析
简答洪水调查的方法与步骤。
在泥沙颗粒级配分析标准1次和常规多次重复的统计模型中,用常规进行20测次以上的重复测试泥沙颗粒级配分析成果作标准。
水位观测时,需同时进行()、风力、水面起伏度、流向及影响水情的各种现象的观测。
A:风的来向
B:风的去向
C:风的强度
D:能见度
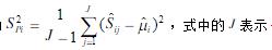
Ⅱ型相对标准差的计算公式为
()
A:统计分析的试验流量测次数
B:试验用少点法垂线流速测验的“少点”数
C:统计分析的试验测速点总数
D:统计分析的试验垂线总数
大断面岸上高程测量()分布应以控制地形转折变化,测绘出断面的实际情况为原则。
A:固定点
B:断面桩
C:高程点
D:测点
水尺零点高程校核,往返的各测点高程均由()高程开始推算。
A:转点
B:基本或校核水准点
C:目标点
D:间视点
相应单样含沙量是用于探寻建立单沙—断沙相关关系,检验()含沙量能否实用的方法。
A:断面
B:断面混合
C:断面平均
D:单样
泥沙级配的基本误差应采用小于某粒径级级配成果的绝对误差。
置换法所用器具主要有比重瓶、温度计、小漏斗、天平、毛巾、加水器具等,比重瓶的()根据需要选择,选定比重瓶的有关资料数据也应准备。
A:形式
B:型号
C:型式
D:状况
某LS25–1型流速仪的公式为v=0.0051+0.2524n,测速时,100s时间内人工记录的音频信号输出数为24个,则该测点流速为()m/s。
A:0.065
B:0.066
C:1.21
D:1.22
用量筒量积水样时,量筒应垂直,视线与()平齐,读取弯月下面与量筒的对应刻度数值,精确到mL(毫升)。
A:水面上缘
B:弯月下面
C:最大刻度
D:500mL刻度
当采样断面的水面宽在50~100m范围时,应在采样断面()采样垂线。其中,左、右采样垂线应设在距湿岸()处。
A:中弘处布设1条;2m
B:左、右布设2条;2~3m
C:左、中、右布设3条;5~10m
D:左、中、右及左、右岸边5条;2~3m
降水量计算的日分界为北京时间()时。
全站仪测图一般采用()测量碎部点的平面位置。
A:前方交会
B:极坐标法
C:三角高程法
D:水准测量
地下水开采量监测(用水定额调查统计法)原始记载表中,“乡镇工业生产地下水开采量”根据“产值()”与“万元产值用水定额”的乘积填写。
A:万元
B:千元
C:百元
D:十元
如算出的水面蒸发量为负值,则一律记为;()。
A:0.0
B:0.0+
C:0.0-
D:0
()内容属于雨量站考证簿应记载的。
A:测站沿革
B:观测仪器
C:观测场地的自然环境
D:委托观测员等方面情况
用日顺、逆流输沙量绝对值综合除以顺、逆流径流量绝对值的综合得日平均含沙量,可称为顺、逆流()综合法。
A:积累值
B:累加值
C:绝对值
D:代数和
在水温观测时,一般使用刻度不大于()℃的框式水温计、深水温度计或热敏电阻温度计进行观测。
A:0.01
B:0.5
C:0.1
D:0.2
水文测站校核水准点从基本水准点引测时可使用的水准测量等级为()。
A:三等
B:四等
C:五等
D:等外
土壤墒情监测山丘区代表性地块,其()应大于666.7m
2
(1亩)。
A:面积
B:体积
C:长度
D:位置
单个流速测点上的测速历时一般采用()秒。
首页
<上一页
47
48
49
50
51
下一页>
尾页