自考题库
首页
所有科目
自考历年真题
考试分类
关于本站
游客
账号设置
退出登录
注册
登录
出自:基础考试
图示杆件AB长2m,B端受一顺时针向的力偶作用,其力偶矩的大小m=100N·m,杆重不计,杆的中点C为光滑支承,支座A的反力F
A
的大小和方向为:()
A:F
A
=200N,方向铅直向下
B:F
A
=115.5N,方向水平向右
C:F
A
=173.2N,方向沿AB杆轴线
D:F
A
=100N,其作用线垂直AB杆,指向右下方
图a)体系的自振频率ω
a
与图b)体系的自振频率ω
b
的关系是:( )
A:ω
a
<ω
b
B:ω
a
>ω
b
C:ω
a
=ω
b
D:不能确定
下列材料中属于土工合成材料产品的有()
A:土工格栅
B:土料
C:土工膜
D:塑料排水带
E:外加剂
在0.1mol/LHAc溶液中,下列叙述中
不正确
的是哪一个?()
A:加入少量NaOH溶液,HAc电离平衡向右移动
B:加HO稀释后,HAc的电离度增加
C:加入浓HAc,由于增加反应物浓度,使HAc电离平衡向右移动,结果使HAc电离度增加
D:加入少量HCl,使HAc电离度减小
平面四连杆机构ABCD如图所示,如杆AB以等角速度w=1rad/s绕A轴顺时针向转动,则CD杆角速度w
CD
的大小和方向为:()
A:A
B:B
C:C
D:D
三轴压缩试验测定的土的强度指标包括()。
A:正应力
B:内摩擦角
C:粘聚力
D:轴向应变
《土的分类标准》(GBJ145-90)把细粒土分为()
A:粉土和黏土
B:亚黏土和亚砂土
C:亚砂土和黏土
D:黏性土和非黏性土
一个非零的无符号二进制数,若在右边末尾加上一个“0”形成一个新的无符号二进制整数,则新的数是原来的()倍。
A:1
B:2
C:4
D:8
已知图示梁抗弯刚度EI为常数,则用叠加法可得跨中点C的挠度为:()
A:A
B:B
C:C
D:D
如图所示的正弦交流电路中,已知电压表V
1
的读数为6V,V
2
的读数为8V,则电压表V的读数为()V。
A:2
B:10
C:14
D:100
为保护轮船不被海水腐蚀,可做阳极牺牲的金属:()
A:Zn
B:Na
C:Cu
D:Pb
现需要能输出36V直流电压的直流电源,若采用单相桥式整流,则整流变压器副边电压应为()V。
A:32.4
B:40
C:64.8
D:80
三轴压缩试验可分为()。
A:固结快剪
B:不固结不排水剪
C:固结不排水剪
D:固结排水剪
土的工程分类主要是根据()确定的。
A:缩限
B:土颗粒组成及其特征
C:土的塑性指标
D:有机质含量
平面图示水由喷嘴喷出,正面冲击在光滑平板上,喷嘴出口直径20mm,出口流速v=20m/s,则板上受到的冲击力为()。
A:126N
B:126kN
C:1235N
D:1235kN
规程规定,现场结构面直剪试验时,试件尺寸不得小于()。
A:40cm³ 40cm
B:50cm³ 50cm
C:60cm³ 60cm
D:70cm³ 70cm
如图所示变截面杆中,AB段、BC段的轴力为:()
A:N
AB
=-10kN,N
BC
=4kN
B:N
AB
=6kN,N
BC
=4kN
C:N
AB
=-6kN,N
BC
=4kN
D:N
AB
=10kN,N
BC
=4kN
关于图5-9-9中所示之四个应力状态是否等价,有四种答案:()
A:四者均等价
B:B.仅和B.等价
C:C.仅、C.等价
D:D.仅和C.等价
常规的岩石剪切试验中,施加剪切载荷的方法有()
A:快速剪切法
B:时间控制法
C:变形控制法
D:应力控制法
E:慢速剪切法
城市与工程测量中确定地面点位所采用的坐标系一般为()。
A:天文地理坐标系
B:大地地理坐标系
C:地区平面直角坐标系
D:高斯平面直角坐标系
一平面简谐波沿X轴正向传播,已知x=1(1<λ)处质点的振动方程为y=Acoswt+φ
0
),波速为u,那么x=0处质点的振动方程为:()
A:y=Acos[w(t+1/u)+φ
0
]
B:y=ACOS[w(t-1/u)+φ
0
]
C:y=Acos[wt+1/u+φ
0
]
D:y=Acos[wt-1/u+φ
0
]
设计双筋矩形截面梁,当A
s
和A
s
'均未知时,使用钢量接近最少的方法是:()
A:取ξ=ξ
b
B:取A
s
=A
s
'
C:使x=2a
s
'
D:取ρ=0.8%~1.5%
有压恒定流水管直径d=50mm,末端阀门关闭时压力表读数为21kPa,阀门打开后读值降至5.5kPa,如不计水头损失,则该管的通过流量Q为:()
A:15L/s
B:18L/s
C:10.9L/s
D:9L/s
中华人民共同国国家标准《岩土工程勘察规范》(GB50021-2001)适用于下列()建设的岩土工程勘察。
A:废弃物处理工程
B:水利工程
C:核电厂
D:高速公路
E:岸边工程
单桩静载试验承载力平均值快速法大于慢速法。
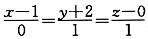
点M
1
(3,-1,2)到直线L:
的距离为()
A:A
B:B
C:C
D:D
当构件截面尺寸和材料强度相同时,钢筋混凝土受弯构件正截面承载力M与纵向受拉钢筋配筋率ρ的关系是:()
A:p越大,M
u
亦越大
B:p越大,M
u
按线性关系越大
C:当ρ
min
≤ρ≤ρ
max
时,M
u
随ρ增大按线性关系增大
D:当ρ
min
≤ρ≤ρ
max
时,M
u
随ρ增大按非线性关系增大
导线测量的外业工作
不包括
()。
A:踏勘选点
B:边长测量
C:转折角测量
D:导线点坐标计算
PbI
2
的溶解度为1.52×10-3mol/L,它的溶解积常数为:()
A:1.40×10
-8
B:3.50×10
-7
C:2.31×10
-6
D:2.80×10
-8
岩体表面应力测试法主要包括表面应力解除法和表面应变恢复法。
首页
<上一页
45
46
47
48
49
下一页>
尾页