自考题库
首页
所有科目
自考历年真题
考试分类
关于本站
游客
账号设置
退出登录
注册
登录
出自:电气工程公共基础
自从3000年前第一次将保龄球运动引入到你的国家,你的国家一直将保龄球运动视为一种高尚的运动。你作为一个项目经理要为政府建造一个保龄球运动的纪念碑:一个大理石-钛结构的保龄球饰针。这个纪念碑预期能够持续几个世纪。在这种情况下,认为项目是暂时性的这种说法()。
A:不适合,因为这个项目需要的结果是持续的
B:不适合要建造的产品
C:认为项目团队将比本项目要长寿
D:不适合,因为这个项目不是在短期内就可以完成的
对于大型变压器在做低压或中压雷电冲击时,如何提高半峰值时间?
下列选项中,哪些是交付策划过程中需方应做的工作()。
A:编制交付实施计划,交付检查计划和交付改进计划
B:编制预算
C:提供报务要求,并与供方达成服务级别协议等
D:明确考核要求,计算办法和奖惩措施
设f(x)=x3+ax2+bx在x=1处有极小值-2,则必有()。
A:a=-4,b=1
B:a=4,b=-7
C:a=0,b=-3
D:a=b=1
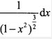
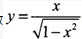
函数
在x处的微分为()。
A:
B:
C:xdx
D:
下列器件属于TTL集成门电路的是()
A:74LS00
B:74LS04
C:CD4511
D:CD4017
某电路有用信号的频率是2~2kHz,可选用()滤波器来获得此信号。
A:高通
B:带通
C:带阻
D:低通
峰值电压表可以分为有源式和无源式两种。()
下列关于互联网的发展有误的是()。
A:互联网原型系统始建于1969年,即美国国防部高级研究计划局
B:1989年欧洲粒子物理研究所
C:1990年ARPnet退出历史wu台,由NSF所替代
D:1991年网景公司问世,92年上市创当时首日获利记录
以下关于类比估算的说法正确的是()。
A:使用自下而上的估算技术
B:常用于项目执行阶段
C:使用自上而下的估算技术
D:使用实际历史成本
RLC串联电路如图7.2-33所示,在正弦电压的激励下,其等效复阻抗等于()。
A:
B:
C:
D:
电测仪表误差分_________、_________、及引用误差。
物联网与互联网上传同业务相比有不同的特点,与其说物联网是网络,不如说物联网是()形态。
A:感知或应用
B:业务或应用
C:感知或业务
D:数据或应用
高压绝缘试验中,要求直流试验电压在输出工作电流下,其电压的脉动因数应不大于( )
A:1%
B:3%
C:5%
D:10%
泵与风机的运行工作点是由()的交点确定的。
A:Q-H和管道特性曲线
B:Q-P和管道特性曲线
C:Q-n和管道特性曲线
D:Q-效率和管道特性曲线
设A是3阶矩阵,矩阵A的第1行的2倍加到第2行,得矩阵B,则以下选项中成立的是()。
A:B的第1行的-2倍加到第2行得A
B:B的第1列的-2倍加到第2列得A
C:B的第2行的-2倍加到第1行得A
D:B的第2列的-2倍加到第1列得A
绕组对油箱的绝缘属于变压器的()。
A:外绝缘
B:主绝缘
C:纵绝缘
D:次绝缘
正弦交流电压的波形图如图7-22所示,该电压的时域解析表达式为()。
A:u(t)=155.56sin(ax-5°)V
B:
C:
D:u(t)=155.6sin(314t-60°)V
管理计算机通的规则称为()。
A:协议
B:介质
C:服务
D:网络操作系统
下列
不属于
信息导引及发布系统组成的部份是()。
A:信息播控
B:信息显示和信息导览系统
C:信息采集和信息编辑
D:信息过虑和信息排序
动力粘滞系数的单位是()。
A:N*s/m
B:N*s/m
2
C:m
2
/s
D:m/s
若4位同步二进制加法计数器当前的状态是0111,下一个输入时钟脉冲后,其内容为()。
A:0111
B:0110
C:1000
D:0011
按系统命名法,下列有机化合物命名正确的是()。
A:2-乙基丁烷
B:2,2-二甲基丁烷
C:3,3-二甲基丁烷
D:2,3,3-二甲基丁烷
雷电冲击截断时间是视在原点与截断过零时的时间间隔。
透过毛玻璃看书上的字很模糊,但在毛玻璃上抹上一层水后,字马上清晰了。为什么?毛
如图所示,在倾角为α的光滑斜面上置一刚性系数为k的弹簧,一质量为m的物体沿斜面下滑s距离与弹簧相碰,碰后弹簧与物块不分离并发生振动,则自由振动的固有圆频率为()。
A:
B:
C:
D:
关于漏电电流动作保护器,下列说法正确的有()。
A:PE线严禁穿过漏电电流动作保护器中电流互感器的磁回路
B:PEN线允许穿过漏电电流动作保护器中电流互感器的磁回路
C:N线严禁穿过漏电电流动作保护器中电流互感器的磁回路
D:相线应穿过漏电电流动作保护器中电流互感器的磁回路
图4-8所示结构在斜杆CD的中点作用一铅垂向下的力F,杆AB水平,各杆的自重不计,铰支座A的约束力FA的作用线应该是()。
A:沿水平方向
B:沿铅垂方向
C:沿A、D连线
D:无法判断
如图4-80所示两系统均作自由振动,其中图a系统的周期和图b系统的周期分别为()。
A:
B:
C:
D:
绝缘油在设备中的作用是_______、_______和消弧
首页
<上一页
45
46
47
48
49
下一页>
尾页