自考题库
首页
所有科目
自考历年真题
考试分类
关于本站
游客
账号设置
退出登录
注册
登录
出自:电气工程公共基础
TTL与非门的电路图中,当输入端A、B都为高电平时,A点的电压值为()。
A:1V
B:1.4V
C:2.1V
D:0.7V
在单缝夫琅和费衍射实验中,若单缝两端处的光线到达屏幕上某点的光程差为δ=2.5λ(λ为入射单色光的波长),则此衍射方向上的波阵面可划分的半波带数量和屏上该点的衍射条纹情况是()。
A:4个半波带,明纹
B:4个半波带,暗纹
C:5个半波带,明纹
D:5个半波带,暗纹
下列命题中,错误的是().
A:部分和数列{s}有界是正项级数收敛的充分条件
B:若级数绝对收敛,则级数必定收敛
C:若级数条件收敛,则级数必定发散
D:若,则级数收敛
无载调压变压器带有局部放电测量的长时感应耐压试验时分接选择应该尽量使感应倍数接近2.( )
局部等电位连接应包括( )。
A:防雷装置的接地引下线
B:薄壁钢管的外皮
C:公用设施的金属管道
D:建筑物金属结构
视见函数
图示封闭盛水容器壁上装有一U形水银测压计,若x-x为水平面,则1、2、3点压强关系为()。
A:p123
B:p1=p2=p3
C:p1>p2>p3
D:p213
一台变压器的型号为:OSFPSZ—120000/220,其中的第一个S的意义是()。
A:三相
B:三绕组
C:水冷却
D:以上都不对
设A为n阶可逆方阵,则()不成立。
A:AT可逆
B:A2可逆
C:-2A可逆
D:A+E可逆
莫尔条纹
变压器空载运行时,是否要从电网取得功率?这些功率属于什么性质?起什么作用?为什么小负荷用户使用大容量变压器无论对电网和用户均不利?
在RLC串联正弦交流电路中,当外加交流电源的频率为f时发生谐振,当外加交流电源的频率为2f时,电路的性质为()。
A:电阻性电路;
B:电感性电路;
C:电容性电路;
D:纯容性电路。
用555定时器构成的施密特触发器,若电源电压为VCC,控制端不外接固定电压,则其上限阈值电压为()。
A:1/3VCC
B:2/3VCC
C:VCC
D:1/2VCC
下面对触发器基本特点的描述正确的是()。
A:具有两个能自行保持的稳定状态
B:有三个稳定状态
C:根据不同的输入信号可以置成1或0状态
D:没有记忆功能
在X86架构的虚拟化实现中,一个虚拟化层被加到硬件和操作系统之间,这个虚拟化层允许多个虚拟机的OS实例同时运行在一台机器上,动态的分配和可用的物理资源,但
不包括
()。
A:CPU存储
B:内存
C:I/O设备
D:hypervisor
变压器的噪音仪在试验前应该在线性度下进行校准.( )
在没有月光的夜间,一个池面较大的水池底部中央有一盏灯(可看做光源),小鱼在水中游动,小鸟在水面上方飞翔,设水中无杂质且水面平静,下面的说法中正确的是()。
A:小鱼向上方水面看去,看到水面到处都是亮的,但中部较暗
B:小鱼向上方水面看去,看到的是一个亮点,它的位置与鱼的位置无关
C:小鸟向下方水面看去,看到水面中部有一个圆形区域是亮的,周围是暗的
D:小鸟向下方水面看去,看到的是一个亮点,它的位置与鸟的位置有关
一个由R=3kΩ、L=4H和C=1μ三个元件相串联的电路,若电路振荡,则振荡角频率为下列选项中的()。
A:375rad/s
B:500rad/s
C:331rad/s
D:不振荡
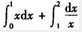
设曲线y=1/x与直线y=x及x=2所围图形的面积为A,则计算A的积分表达式为().
A:
B:
C:
D:
净油器有几种类型及规格?
进行绝缘特性试验,对绝缘施加直流电压时,流过绝缘介质的电流是()
A:传导电流
B:电容电流
C:吸收电流
D:以上三个电流之和
OFDM技术的中文全称是?()
A:多路多点分配业务技术。
B:全球微波接入互操作性技术。
C:正交频分复用技术。
D:无线局域网技术
操作冲击试验时,变压器内的操作波是通过变压器内电容耦合作用传导到非被试相的。()
在配电所现场检修变压器和油断路器时,禁止使用喷灯。其他部位使用明火时,与带电部位的距离,10kV及以下电压时不小于()m。
A:1.5;
B:2;
C:3;
D:5。
如果某个波带片对考察点P露出前5个偶数半波带,在P点产生的振动的振幅和光强分别是不用光阑时的()倍。
A:5、10
B:10、50
C:10、100
D:50、100
偏心凸轮机构,偏心距为e,轮半径R=e,轮转动时将推动AB杆绕A轴转动。图示位置,OC⊥CB,OB在铅直位置,此时轮的角速度为ω,杆AB水平,B端搁置缘上,杆长为L,则此瞬时杆AB的角速度应为()。
A:
B:
C:
D:
DL408—91《电业安全规程》对起重所用的U型环规定负荷应按最小截面积乘以()来计算。
A:9.8kg
B:78448kPa
C:9.8t
D:9.8N
已知是正定二次型,则().
A:t>0
B:t<0
空载电流中的谐波含量次数越高,则谐波分量越大。()
集成触发器有()3种结构。
A:主从结构
B:边沿结构
C:同步结构
D:维持-阻塞结构
首页
<上一页
44
45
46
47
48
下一页>
尾页