自考题库
首页
所有科目
自考历年真题
考试分类
关于本站
游客
账号设置
退出登录
注册
登录
出自:初级中学教师资格证
学生林某发现自己的钱包不见了,怀疑是他的同桌拿了。于是班主任就把林某的同桌叫到办公室,对其进行搜身,班主任的做法侵犯了学生的()
A:人格尊严权
B:人身自由权
C:隐私权
D:名誉权
从本质上说,观察也属于知觉范畴。
1981年党的十一届六中全会通过《关于建国以来党的若干历史问题的建议》对我国社会主要矛盾作了规范的表述:“社会主义改造完成以后,我国所要解决的主要矛盾,是人民日益增长的物质文化需要同落后的社会生产之间的矛盾。”我国社会主要矛盾的主要方面将长期是()。
A:生产力落后
B:生产力不断发展的要求
C:经济文化发展不平衡
D:人民日益增长的物质文化需要
提出以培养"兼士"或"贤士"为教育目的的教育家是()。
A:孔子
B:孟子
C:墨子
D:荀子
教师基本功中的三笔字
不包括
()。
A:钢笔
B:毛笔
C:粉笔
D:圆珠笔
阅读图文资料,完成下列要求。河流的侵蚀、沉积及沼泽的吸收(附)影响河流泥沙和营养物质含量。水体中营养物质含量影响浮游生物量.与水温共同制约鱼类资源数量。下图所示的西西伯利亚平原地势低平,冻土发育,河流众多,沼泽广布。
通常,大河河口的鱼类资源丰富,但鄂毕河河口鱼类资源相对较少。说明鄂毕河河口鱼类资源较少的原因。
()是指学校在创造物质文化和精神文化的实践过程中体现出来的文化行为。
A:观念文化
B:课程文化
C:物质文化
D:践行文化
普京曾说:“苏维埃政权没有使国家繁荣,社会昌盛,人民自由。用意识形态的方式搞经济导致我国远远落后于发达国家。无论承认这一点有多么痛苦,但是我们将近70年都在一条死胡同里发展,这条道路偏离了人类文明的康庄大道。”“死胡同”是指()
A:战时共产主义政策
B:赫鲁晓夫改革
C:戈尔巴乔夫改革
D:斯大林体制
一个用
15
N标记的DNA分子有1200个碱基对,其中腺嘌呤700个。该DNA分子在无放射性标记的溶液中复制2次,则()。
A:复制完成后,具有放射性的腺嘌呤共有1400个
B:复制完成后,不含
15
N的DNA分子总数与含
15
N的DNA分子总数之比为3:1
C:复制过程中,共消耗胞嘧啶脱氧核苷酸1500个
D:含有放射性的DNA分子的两条链都有放射性
蒋介石曾在日记中写道:“日寇野心既已爆发,必难再收,东亚从此将无宁日矣。天灾频仍,匪祸纠缠,国家元气衰敝已极,虽欲强起御侮,其如力不足何!”文中提到的日本侵华事件是指()
A:甲午中日战争
B:九一八事变
C:卢沟桥事变
D:淞沪会战
下列关于复式教学叙述正确的是( )。
A:复式教学可以在同一年级内进行
B:复式教学适用于学生多、教室少的情况
C:复式教学中教师的教学和学生的自学或做作业同时进行
D:复式教学情景下的学生的基本技能和自学能力相对较弱
蚂蜂遭到袭击时,蜂群共同向侵犯者发起攻击,从个体和群体的角度来看,其行为应属于()。
A:攻击行为和社会行为
B:防御行为和社会行为
C:取食行为和社会行为
D:学习行为
公民权利中最基本、最重要、内涵最丰富的是( )。
A:隐私权
B:名誉权
C:人身权
D:教育权
全球最大债券投资基金太平洋投资管理公司(PIMCO)的创始人,业内人称“债券天王”的格罗斯(BillGross)周二(2月18日)指出,虽然美联储缩减每月量化宽松措施(QE)购债规模的进程还只是刚刚开始,但是事实上,美国的货币政策早在九个月之前,也就是美联储初步抛出缩减QE意向时即已走向紧缩。这一政策实施,将会对中国经济产生影响,在不考虑其他因素的条件下,下列内容中,最有可能出现的情况是()①我国国内就业率上升②国际资金来源充裕③国际资本回流美欧④我国经济增速放缓
A:①②
B:②③
C:③④
D:①④
清朝人记载“开机之家,谓之帐房;机工领织,谓之代料(领取材料,回家生产);织成送缎,主人校其良楛(质量优劣)谓之雠货(验货)。“这段话反映的是:()
A:包买主制度
B:男耕女织的自然经济
C:工场手工业
D:市场上的实物交易
教学设计的前提工作、教学设计的基础工作是()。
A:教学目标的确定
B:板书设计
C:教学方法的选择
D:教学内容的处理
依据柯尔伯格的道德认知模式进行道德教育主要用的是道德两难故事法。( )
“重男轻女”本来是中国封建社会的思想意识,是生产资料私有制财产继承关系的反映,但直到今天,这种思想依然残留在一些人的头脑里。这说明()
A:文化的发展总是落后于社会经济的发展
B:文化有其自身的相对独立性和传承性
C:文化可以脱离经济而存在
D:文化的发展与经济的发展并不是完全同步的
( )使遗传提供的发展的可能性转变为现实。
A:环境
B:教育
C:社会
D:实践
()神庙是古希腊雅典卫城建筑群中的主要建筑,是世界艺术史上最完美的建筑典范之一。
A:巴底农
B:雅典娜
C:阿波罗
D:宙斯
下列选项中,对于美术教学“合作学习”理解与运用不适当的是()。
A:有利于增强学生沟通能力
B:应当将能力比较接近的人组合在一起
C:分组的人数一般以3~5人为宜
D:同学之间需要相互理解和信任
试述价值规律的作用,并用以阐明我国企业必须注重技术进步,改善经营管理。
阅读以下教学案例,回答问题。一、教学准备教具准备:一张八开纸、一块玻璃学具准备:一张白纸、两支不同颜色的彩笔二、教学过程1.创设情境,激发学生的兴趣师:在写作之前,我们大家一起来做个"画方画圆"的游戏,好吗?生:好。师:下面,讲一下游戏的规则及要求。规则:双手同时在一张纸上画"方",画"圆",不允许用尺子和圆规。要求:①在规定时间内完成,并观察自己画的"方和圆"的效果;②观察到前面现场演示同学的神态并描述。2.做游戏.练能力游戏1:学生用事先准备好的两支彩笔在同一张白纸上画方、画圆。(5秒钟学生全部完成)师:谁能到前面展示一下自己的杰作?(有6名学生主动到前面展示了作品。)师:他们画得怎样?生:他们画得都很认真,但都不方不圆。师:从这个游戏结果上看,大家有何感悟?生:有的说:"一心不能二用";有的说:"右手画得比左手好,说明熟能生巧。"有的说:"看花容易,绣花难。要做好一件事情,非得下一番苦功。"有的说:"我成绩不好,就像一手画方,一手画圆一样,上课经常是一心二用,听课质量较低,以后我要改掉这个毛病。"等。(师点评)游戏2:找3名学生到黑板前,面对学生现场在教师事先准备好的玻璃上进行双手同时画方、画圆的表演。其他同学注意观察3名表演学生的神情。师:给大家一分钟时间,请把观察到的神情进行书面描写。生:展示描写片段。(师点评)3.教师点拨.学生写作师:同学们,刚才大家表现得都很出色。大家把刚才所看、所听、所想以文字的形式表达出来,这就是作文。下面我提两点要求:①确立题目。②以记叙、议论两种表达方式为主。生:精神饱满,奋笔疾书。师:巡回指导。4.作文展示.学生点评学生的习作先在小组内进行展示交流,并推选较优秀的在全班进行展示交流,其他同学听后对比点评。5.学生谈本节作文课的收获6.教师总结鼓励学生注意观察,勤于思考,做生活中的有心人。
第1题,共1个问题
(简答题)问题:这是一位初中语文老师的作文课教学设计,请认真阅读并进行简要评析。
简述格式塔学派的主要观点。
著名维新人士容闳与友人论时局时说:“汝以为义和团为乱民乎,此中国之民气也。民无气则死,民有气则动,动为生气,从此中国可免瓜分之局„„中国下层愚氓,民气已动,将及于士大夫。”容闳在这里()
A:肯定义和团民众蕴藏的力量
B:认识到义和团运动发生的原因
C:强调义和团民众的愚昧无知
D:指明了义和团运动失败的根源
已知AB为过抛物线y
2
=2px焦点F的弦,则以AB为直径的圆与抛物线的准线()。
A:相交
B:相切
C:相离
D:与p的取值有关
幼小植物体内自由水与结合水的比值不断增大时,植物体内新陈代谢活跃,生长迅速;自由水与结合水的比值不断减小时,植物体内的新陈代谢减弱,生长缓慢。下面解释正确的组合是()①结合水是构成植物细胞结构的一部分②结合水参与某些代谢反应③自由水是各种代谢活动的介质④自由水参与某些代谢反应
A:①②
B:②③
C:③④
D:①④
教师在备课过程中主要应做好哪些工作()
A:备教材
B:备教具
C:备学生
D:备板书
E:备教法
下列关于神经症的观点中正确的是()。
A:神经症是思想问题,不是人生观出现了偏差
B:神经症是心理问题,是人生观出现了偏差
C:神经症不是思想问题,是人生观出现了偏差
D:神经症是心理问题,不是人生观出现了偏差
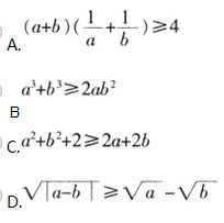
设a>0,b>0,则以下不等式中不恒成立的是()。
A:A
B:B
C:C
D:D
首页
<上一页
457
458
459
460
461
下一页>
尾页