出自:初级中学教师资格证

简述一篇完整的教案当中的基本要素包括哪些?
两汉时期,从中央到地方,形成了一个专门为官府及宫廷所需制作各种器物、军械、衣服、金银器物及煮盐、冶铁、采矿、铸造、铸币等的手工业网,构成了官营手工业的庞大体系。对于官营手工业的认识有误的是()
A:有利于增加国家财政收入
B:有利于稳定市场价格,推动民营手工业的发展
C:打击割据势力和富商大贾
D:严重冲击了民间市场,阻碍商品经济的发展
简述影响人格的因素。
体育教学评价的功能不包括()。
A:导向
B:激励
C:诊断
D:同化
下图是某种群数量变化曲线,有关叙述不正确的是()。
A:图中种群呈“S”型增长,3时以后的数量变化与该生态系统食物网的复杂程度有关
B:图中种群在时间相对值为2时的年龄组成为增长型,此时种群的增长速率最大
C:自然界中的种群增长曲线一般呈“S”型,种群迁入新的环境初期可能呈“J”型增长,两种曲线都是在K/2时种群数量增长最快
D:若该种群为玉米,因为其数量存在K值,所以种植时要合理密植

背景材料:
材料一高中化学《化学1》教材"富集在海水中的元素--氯"原文(略)。
材料二人教版化学1教材结构体系
引言
第一章从实验学化学
第二章化学物质及其变化
第三章金属及其化合物
第四章非金属及其化合物
第一节无机非金属材料的主角--硅
第二节富集在海水中的元素--氯
第三节氨硝酸硫酸



第1题,共1个问题
(简答题)问题: (1)简要分析教材中该内容的地位和作用。 (2)写出本课的化学三维教学目标。 (3)设计本节内容关于"氯气的性质和用途"的教学过程。
现代教育改革的核心是()
A:课程改革
B:提高师资水平
C:教学组织形式改革
D:加强道德教育
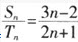
已知等差数列的前n项和分别为,若,则的值是()。
A:
B:
C:
D:
简述在历史教学中帮助学生形成历史概念的重要意义。
讲解李贺的《雁门太守行》时,教师准备列举其他边塞诗,让学生比较阅读。下列诗句不合适的是()。
A:醉卧沙场君莫笑,古来征战几人回。
B:战士军前半生死,美人帐下犹歌舞。
C:马上相逢无纸笔,凭君传语报平安。
D:渭城朝雨浥轻尘,客舍青青柳色新。
2011年9月,利比亚境内的战事趋缓贷利比亚重建任务艰巨,如需要向国际社会寻求长期贷款和技术援助,应向下列哪一国际机构提出申请()
A:世界银行
B:国际货币基金组织
C:世界贸易组织
D:亚太经济合作组织
太极拳的全套动作分()组,共()式。
A:4;12
B:8;24
C:5;0
D:12;36
古希腊的民主政治和古代罗马成文法形成的共同的政治基础是()
A:公民社会的现实
B:商品经济的要求
C:民主政治的传统
D:民主机构的设立
在下列教师行为中,属于心理健康表现的有()
A:交往中,将关系建立在互惠的基础上
B:冷静地处理课堂环境中的偶发事件
C:将生活中的不愉快情绪带入课堂,迁怒于学生
D:偏爱甚至袒护学习成绩好的学生
40年代末50年代初形成的社会主义阵营不包括南斯拉夫,其原因是()
A:南斯拉夫不是社会主义国家
B:南斯拉夫不愿意与苏联结盟
C:南共已被开除出情报局
D:南斯拉夫想发起不结盟运动
19世纪80-90年代签订的不平等条约与19世纪40-50年代的不平等条约相比,最主要的不同点是()。
A:割取中国领土的面积更大
B:索取的赔款额不断加大
C:通商的开放口岸深入腹地
D:列强获得对华输出资本特权
由国务院办公厅主办的中国政府网于2013年10月11日正式开通官方微博和官方微信,今后国务院的重要决策部署和政策文件等内容,将通过新华微博、腾讯微博和微信等新媒体形式权威、准确、及时地向社会公众公开。开通官方微博和微信产生的积极影响是()
A:规范工作流程→杜绝权钱交易→优化公共服务
B:工作更加透明→利于民主监督→增强政府威信
C:加强政府管理→提高办事效率→维护公民权利
D:实行民主监督→集中专家智慧→改进政府工作
某位教师在讲授“辛亥革命”时,以孙中山为主线展开,首先出示了“时尚的中山装”,接着出示“中山装”的设计含义。衣服外的四个口袋代表“国之四维”、前襟的五粒纽扣分别表示孙中山的五权宪法学说(行政权、立法权、司法权、考试权、监察权);左右袖口的三个纽扣则分别表示三民主义(民族、民权、民生)和共和的理念(平等、自由、博爱);衣领为翻领封闭式,表示严谨的治国理念;衣袋上面弧形中间突出的袋盖,代表重视知识分子;背部不缝缝,表示国家和平统一之大义。问题:

第1题,共1个问题
(简答题)(1)结合材料分析这位教师的做法是否得当。 (2)根据材料,谈谈如何使历史与生活联系起来。
劳动者不论是体力的改善还是智力的提高,都要靠教育去完成。
“工欲善其事,必先利其器”在教学资源的开发和利用上是说要注重()。
A:工具材料资源的开发利用
B:校内资源的开发利用
C:校外资源的开发利用
D:自然资源的开发利用
视觉联想就是要通过()来帮助人们对联系的记忆。
在教育实践中,潜在课程的具体形式并不存在。
运动程序执行过程中,实现反馈调节的主要脑区是()。
A:小脑
B:大脑
C:中脑
D:间脑
阅读案例,并回答问题。案例:在学习“二氧化碳”的内容时,为了让学生更好地理解化学现象和物质性质的关系,一位教师设计了如下教学情境: (1)提出问题。教师提出问题:放在同一平面上的两支蜡烛,一高一低,点燃以后,用透明玻璃罩罩住两支蜡烛,哪一支蜡烛先熄灭?为什么? (2)学生就问题进行分组讨论。 (3)实验探究。 (4)根据实验现象继续讨论,得出结论。 (5)后续思考。 问题: (1)如果你是这位教师,请分别介绍你将如何调控、处理(1)(2)(3)(4)中描述的场面。(2)如果你是这位教师,你将如何给学生设计后续思考活动?
以儿童的兴趣和动机为基本出发点,以儿童的某些基本动机作为教学组织的中心的课程属于()
A:学科课程
B:活动课程
C:隐性课程
D:显性课程
如图1―2所示,该数据表的名称是()。
A:报名表
B:姓名
C:报名号
D:参加项目
简述主要的心理评估方法。
下列不属于四大名旦的是()。
A:尚小云
B:荀慧生
C:周信芳
D:程砚秋
中国作家协会主席铁凝说,文化是人的灵魂的灯塔,常听说有即将离开人世的人身边放着某个作家的作品,但没听说哪个生命临终的人在感悟人生时,身边摆一个钱包。这句话使人们体会到()①优秀文化丰富人的精神世界②文化有其自身的相对独立性③文化可以离开人而独立发展④优秀文化是人们心灵的火炬
A:①②
B:①④
C:②③
D:③④
苏格拉底在教学中善于启发诱导学生自己去寻找正确的答案,我们把他的这种教学称为产婆术。