自考题库
首页
所有科目
自考历年真题
考试分类
关于本站
游客
账号设置
退出登录
注册
登录
出自:电气工程公共基础
基元波带片
解释程序的功能是()。
A:将高级语言程序转换为目标程序
B:将汇编语言程序转换为目标程序
C:解释执行高级语言程序
D:解释执行汇编语言程序
简述傅里叶变换的基本性质?
一台理想单相变压器,额定容量为10kVA,电压为3300V/220V,变压器在额定状态下运行时,原副边电流分别为()。
A:3.03A,45.45A
B:45.45A,3.03A
C:C.4.2964.28A
D:64.28A,4.29A
下列属于物理变化的是()
A:云变成雨
B:百炼成钢
C:大米酿酒
D:煤的干馏
半导体数码管的每个显示线段都是由()构成的。
A:灯丝
B:发光二极管
C:发光三极管
D:熔丝
如果两个同频率的交流电的相位角,分别为φ1和φ2,其φ1-φ2<90o时,称做( )
A:两个正弦量同相
B:第2个正弦量超前第1个正弦量
C:第1个正弦量超前第2个正弦量
公司股票筹资相对于债券筹资的优点在于()。
A:增加投资发起人的风险
B:少纳所得税
C:可降低公司负债比率
D:支出固定
以下可编程逻辑器件中,集成密度最高的是()。
A:PAL
B:GAL
C:HDPLD
D:FPGA
如果称平滑调速为连续(无级)调速,那么属于连续调速的方法是()。
A:调磁极对数调速
B:调转差率调速
C:调频调速
D:调磁极对数调速、调转差率调速、调频调速
某项目建设期为3年,投资总额为300万元,自有资金为28%,其余为银行贷款。三年的贷款比率依次为50%、30%、20%,贷款在各年内均衡发生,若贷款利率为10%,则该项目的建设期利息累计为()万元。
A:17.66
B:41.42
C:52.22
D:56.54
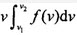
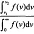
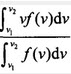
设某种理想气体的麦克斯韦分子速率分布函数为f(ν),则速率在ν1~ν2区间内分子的平均速率表达式为()。
A:
B:
C:
D:
一平面简谐波的波动方程为y=0.01cos10π(25t-x)(SI),则在t=0.1s时刻,x=2m处质元的振动位移是()。
A:0.01cm
B:0.01m
C:-0.01m
D:0.01mm
提出云计算概念的公司()。
A:微软
B:谷歌
C:亚马逊色
D:IBM
我国国家教育科研网CERNET在哪一年加入6Bone()。
A:1986年6月
B:1999年6月
C:2000年8月
D:2001年8月
把数字量转换成为相应模拟量的过程称()。
A:数—模转换
B:DAC
C:D/A转换器
D:ADC
图示组合结构,P1=P2=5kN,均布力q=2kN/m。则杆1的内力应为()。
A:12kN,拉杆
B:16kN,拉杆
C:20kN,拉杆
D:24kN,拉杆
某理想气体分子的平均速率若提高到原来的2倍,则该气体的温度T应提高到原来的()倍。
A:2
B:4
C:8
D:16
由省、自治区、直辖市人民政府设定的临时性行政许可,实施满一年需要继续实施的,应当提请()。
A:本级人民代表大会及其常务委员会制定地方性法规
B:本级人民政府设定行政许可
C:国务院批准延期
D:国务院制定行政法规
脉冲单元电路主要有()。
A:施密特触发器
B:单稳态触发器
C:移位寄存器
D:多谐振荡器
团队刚完成了项目进行情况评测的过程;团队成员分析了什么工作好,什么不行,他们评测了计划和执行。他们用文档方式记录了发起人和高级管理层是如何支持项目的,他们现在在项目的哪一个过程?()
A:经验教训
B:收尾
C:执行
D:控制
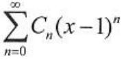
若
,则幂级数
()。
A:必在∣x∣>3时发散
B:必在∣x∣<3时发敛
C:在x=-3处的敛散性不定
D:其收敛半径为3
以下电路中,加以适当辅助门电路,()适于实现单输出组合逻辑电路。
A:二进制译码器
B:数据选择器
C:数值比较器
D:七段显示译码器
在以下干涉实验获得相干光的方法中,叙述正确的是()。
A:杨氏双缝干涉采用的是分振幅法
B:牛顿环干涉采用的是分波阵面法
C:劈尖干涉采用的是分波阵面法
D:迈克耳孙干涉仪中的等倾干涉采用的是分振幅法
雷电冲击试验时,有时非被试端子通过电阻接地,但是这些端子上的电压应被限制到不大于其额定雷电冲击耐受电压的()(对星形联结绕组)或()(对三角形联结绕组)。()
A:75%,50%
B:50%,75%
C:50%,50%
D:75%,75%
油中含水量在()ppm以下时,油中是否含有其他固体杂质是影响油的击穿电压的主要因素。
A:40;
B:50;
C:60;
D:45。
三相全控桥式整流电路工作在整流状态是将输入的三相交流电压转换为_________。
TTL与非门低电平输出电流IOL的参数规范值是()。
A:20uA
B:40uA
C:1.6mA
D:16mA
微机的重要特点之一是微处理器(也称"CPU")一块芯片集成了()。
A:控制器和存储器
B:控制器和运算器
C:运算器和存储器
D:运算器、控制器和存储器
为什么可以把变压器的空载损耗近似看成是铁耗,而把短路损耗看成是铜耗?变压器实际负载时实际的铁耗和铜耗与空载损耗和短路损耗有无区别?为什么?
首页
<上一页
42
43
44
45
46
下一页>
尾页