自考题库
首页
所有科目
自考历年真题
考试分类
关于本站
游客
账号设置
退出登录
注册
登录
出自:基础考试
曲线y=x
2
-2x+3与直线y=x+3所围成图形的面积S=()
A:A
B:B
C:C
D:D
对精度为0.05mm的收敛计进行率定时,反复三次测得的收敛值与率定架千分表的读数差应小于或等于()。
A:0.05mm
B:0.1mm
C:0.01mm
D:0.5mm
曲线y=lnx在(0,+∞)内()。
A:单调增加且凸的
B:单调减少且凹的
C:单调增加且凹的
D:单调减少且凸的
从起偏器A获得光强为I
0
的线偏振光后,再入射到检偏器B上,若透射光的强度为I
0
/4(无吸收),则两偏振片的偏振化方向的夹角为()。
A:0°
B:30°
C:45°
D:60°
土的物理性质室内测定指标为()
A:密度
B:含水率
C:比重
D:饱和度
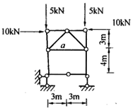
图示结构中,a杆的轴力N
A
为:()
A:0
B:-10kN
C:5kN
D:-5kN
]梯形断面水渠按均匀流设计,已知过水断面A=5.04m
2
,湿周x=6.73m,粗糙系数n=0.025,按曼宁公式计算谢才系数为()。
A:30.8m
1/2
/s
B:30.13m
1/2
/s
C:38.8m
1/2
/s
D:38.13m
1/2
/s
观测无压测压管内的水位时,相邻两次读数的差值在不大于()cm时,则视其算术平均值为稳定值读数。
A:0.2
B:0.5
C:1.0
D:2.0
最外电子层上有两个电子,其量子数n=5,L=0的元素是()。
A:s区元素
B:ds区元素
C:两者均有可能
D:两者均不可能
在其他条件相同时,悬壁式钢板桩和悬壁式混凝土地下连续墙所受基坑外侧压力的实测结果应该是下列()种情况。
A:由于混凝土模量比钢材小,所以混凝土墙上的土压力更大
B:由于混凝土墙上的变形小(位移),所以混凝土墙上的土压力更大
C:由于钢板桩的变形(位移)大,所以钢板桩上的土压力大
D:由于钢材强度高于混凝土强度,所以钢板桩上的土压力更大
影响桩基承载力主要因素有()。
A:桩身所穿越地层的强度、变形性质和应力历史
B:桩端持力层的强度和变形性质
C:桩身和桩底的几何特征
D:桩材料强度
E:群桩的几何参数
下列属于土体密度试验方法的有()
A:环刀法
B:蜡封法
C:灌砂法
D:灌水法
E:核子射线法
粒径大于2mm的颗粒质量超过总质量的50%,且塑性指数等于或小于()的土,应定名为粉土。
A:砂土
B:碎石土
C:15
D:17
水准测量中要求前后视距距离大致相等的作用在于削弱地球曲率和大气折光的影响,还可削弱下述中的哪种影响?()
A:圆水准器轴与竖轴不平行的误差
B:十字丝横丝不垂直于竖轴的误差
C:读数误差
D:水准管轴与视准轴不平行的误差
如图所示,两水箱间用一简单管道相连接,在计算该管道的流量时,其作用水头H
0
为:()
A:A
B:B
C:C
D:D
在沥青的三种胶水结构中,()具有较好的自愈性和低温时变形能力,但温度感应性较差。
A:凝胶型结构
B:溶-凝胶型结构
C:溶胶型结构
D:固胶型结构
已知平面简谐波的主程为y=Acos(Bt-Cx),式中A、B、C为正常数,此波的波长和波速为:()
A:A
B:B
C:C
D:D
在图示系统中,绳DE能承受的最大拉力为10kN,杆重不计。则力P的最大值为:()
A:5kN
B:10kN
C:15kN
D:20kN
图示直径为20mm、长5m的管道自水池取水并泄入大气中,出口比水池水面低2m,已知沿程水头损失系数λ=0.02,进口局部水头损失系数ζ=0.5,则泄流量Q为多少L/s?()
A:0.88
B:1.90
C:0.77
D:0.39
铅直有压圆管如图所示,其中流动的流体密度ρ=800kg/m
3
,上、下游两断面压力表读数分别为p
1
=196kPa,p
2
=392kPa,管道直径及断面平均流速均不变,不计水头损失,则两断面的高差H为:()
A:10m
B:15m
C:20m
D:25m
流体的压强p、速度υ、密度ρ,正确的无量纲数组合是:()
A:A
B:B
C:C
D:D
若某化学反应为A(g)+2B(s)=2C(g)。已知
<0,下列判断正确的是()。
A:仅常温下反应可以自发进行
B:仅高温下反应可以自发进行
C:任何温度下反应均可自发进行
D:任何温度下反应均难以自发进行
三种平面应力状态如图所示(图中用n和s分别表示正应力和剪应力),它们之间的关系是:()
A:全部等价
B:B.与B.等价
C:C.与C.等价
D:都不等价
关于压缩模量叙述正确的是()
A:压缩模量用于分层总和法、应力面积法的地基最终沉降计算中
B:压缩模量用于弹性理论法的地基最终沉降估算中
C:压缩模量用于估算建筑物的初始瞬时沉降
D:压缩模量是根据现场载荷试验得到的
投资项目W的净现金流量如下表:
则项目W的静态投资回收期为:()
A:3.65年
B:3.87年
C:3年
D:3.55年
图示结构(二立柱的线刚度分别为4i、i),其弯矩大小为:()
A:A
B:B
C:C
D:D
岩石吸水性可采用()指标表示。
A:膨胀系数
B:自然吸水率
C:饱和度
D:饱和吸水率
E:饱水系数
石坝坝基加固处理木宜采用下列()项措施。
A:固结灌浆与锚固
B:建立防渗帷幕或防渗墙
C:建立排水帷幕
D:坝身采用黏土心墙防渗
饱和粘性土地基沉降的三个阶段
不包括
()
A:瞬时沉降阶段
B:次固结沉降阶段
C:超固结沉降阶段
D:固结沉降阶段
当低碳钢试件的试验应力σ=σ
s
时,试件将:()
A:完全失去承载能力
B:破断
C:发生局部颈缩现象
D:产生很大的塑性变形
首页
<上一页
40
41
42
43
44
下一页>
尾页