自考题库
首页
所有科目
自考历年真题
考试分类
关于本站
游客
账号设置
退出登录
注册
登录
出自:电气工程公共基础
电气设备保护接地电阻越大,发生故障时漏电设备外壳对地电压( )。
A:越低
B:不变
C:越高
投标人( ),损害国家利益、社会公共利益或者他人的合法权益。
A:不得与招标人串通投标
B:不得与招标人共同投标
C:不得排挤潜在投标人
D:不得强制其他投标人共同投标
同步D触发器具有()功能。
A:保持记忆
B:状态不定
C:送0
D:送1
下列选项中哪种类型属于IPV6的地址自动配置()。
A:无状态
B:有状态
C:公用
D:私用
振幅滤波器
装配图的画法有何规定?
比转数是反映某一系列泵或风机在()工况时的一个综合性参数。
A:最大流量
B:最大杨程
C:最高效率
D:最大功率
某项目投资中有部分为银行贷款,在整个项目期等额偿还本息。其预计年总成本费用为4000万元,年折旧费和摊销费为1000万元,则该项目的现金流量表中的年经营成本应为()。
A:5000万元
B:小于3000万元
C:等于3000万元
D:大于3000万元
属于智能大厦计算机网络系统需求的是()。
A:功能性需求;
B:替代需求;
C:空间和用户数需求;
D:应用系统需求
某风机用于输送320~420℃的气体,且气体中含有大量的灰粒,该风机的叶轮采用耐高温、高强度、不锈钢制造,机壳内壁衬有耐磨的锰钢衬板,轴承箱内设有水冷却装置,则该风机为()。
A:送风机
B:引风机
C:排粉风机
D:再循环风机
变压器油扰与防爆管之间为什么要用小管道?
对于CMMI-需求管理的关键活动,以下说法有误的是()。
A:需求接收者不需要了解需求
B:取得项目组成员对需求的承诺
C:当需求在项目中渐进变化时,管理需求变更
D:维护需求与项目工件之间的双向追溯性
一衍射光栅,每厘米有200条透光缝,每条透光缝宽a=2×10-3cm,在光栅后放一焦距f=1m的凸透镜,现以波长λ=600nm的单色平行光垂直照射光栅,则在透光缝a的单缝衍射中央明条纹宽度内,出现光栅衍射光谱线的条数是()。
A:3条
B:4条
C:5条
D:7条
管径d=100mm,粗糙度为k=0.2mm,管长L=500m,管内流速3m/s,已知处于紊流粗糙区。则其沿程损失为()m。
A:34.5
B:43.3
C:25.2
D:53.4
如图8.8-2所示X,Y信号,如下选项中完成F=X-Y数值运算的是()。
A:
B:
C:
D:
在一密闭容器中,储有A、B、C三种理想气体,处于平衡状态.A种气体的分子数密度为n1,它产生的压强为p1,B种气体的分子数密度为2n1,C种气体的分子数密度为3n1,则混合气体的压强p为()
A:3p1
B:4p1
C:5p1
D:6p1
渐变流过流断面上各点的()近似等于常数。
A:p
B:
C:
D:
分供配电、空调、消防、安防、弱点智能配备相应的专业技术支持人员。熟练掌握机房基础设施相关设备的安装、调试和维护,拥有相关设备系统的培训阅读器认证()。
A:数据
B:服务及网络设备
C:网络及网络设备
D:机房基础设施
变压器接入电网瞬间会产生激磁涌流,其峰值可能达到额定电流的()。
A:8倍左右;
B:1~2倍;
C:2~3倍;
D:3~4倍。
电气保护性接地,主要包括( )等。
A:防电化学腐蚀接地
B:直流接地
C:防雷接地
D:防静电接地
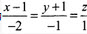
设直线的方程为
,则直线()。 k
A:过点(1,-1,0),方向向量为2i+j-k
B:过点(1,-1,0),方向向量为2i-j+k
C:过点(-1,1,0),方向向量为-2i-j+k
D:过点(-1,1,0),方向向量为2i+j-
电容为100μF的电容器充电,电容器两端的电压从0V增加到100V,电源供给电容器的电能为()J。
A:100;
B:0;
C:0~100;
D:0.5。
硅二极管导通和截止的条件是()。
A:VD>0.5V,VD<0.7V
B:VD>0.7V,VD<0.5V
C:VD>0.7V,VD<0.7V
D:VD>0.5V,VD<0.5V
光圈数
N2(g)+3H2(g)→2NH3(g),,升高温度时,正反应速率ν和逆反应速率ν'的变化为()。
A:ν增大,ν'减小
B:ν减小,ν'增大
C:ν增大,ν'增大
D:ν减小,ν'减小
在不对称系统中,在有中线和无中线的两种情况下,相、线电流和相、线电压的关系应该是()。
A:线电压与相电压有区别,其他无区别;
B:线电流与相电流有区别,其他无区别;
C:均有区别;
D:均无区别。
下列说法中错误的是()。
A:在金属表面涂刷油漆,可以防止腐蚀
B:金属在潮湿的空气中主要发生吸氧腐蚀
C:牺牲阳极保护法中,被保护金属作为腐蚀电池的阳极
D:在外加电流保护法中,被保护金属外加直流电源的负极
通过变压器的()试验数据,可以求得阻抗电压。
A:空载试验
B:电压比试验
C:耐压试验
D:短路试验
在波长为λ的驻波中,两个相邻的波腹之间的距离为()。
A:λ/2
B:λ/4
C:3λ/4
D:λ
在逐次渐近型A/D转换器的组成部分中()。
A:不包含D/A转换器
B:不包含比较器
C:包含D/A转换器
D:不包含参考电源
首页
<上一页
40
41
42
43
44
下一页>
尾页