自考题库
首页
所有科目
自考历年真题
考试分类
关于本站
游客
账号设置
退出登录
注册
登录
出自:电气工程公共基础
示等径长直管流,x-x为水平面,y-y过流断面,则有()。
A:p1=p2
B:p3=p4
C:
D:
等于()。
A:
B:
C:
D:
已知某二端网络N的端口电压u(t)=100sin(ωt+60°)V,则
不正确
描述该电压的相量形式为()。
A:
B:
C:
D:
计算全息的编码?
所谓理想二极管,就是当其正偏时,结电阻为(),等效成一条直线;当其反偏时,结电阻为(),等效成断开
DRAM4164有2根片选线(RAS和CAS)、8根地址线和1根数据线。请判断它的存储容量为多少?
IPV4到IPV6的过渡技术
不包括
()。
A:同时使用IPV4和IPV6
B:IPV6路由协议
C:IPV6-over-IPV4隧道
D:DNS设施
变压器带有局部放电测量的长时感应耐压试验测量得到的放电量为变压器的真实放电量.( )
锅炉汽包就地水位计显示值与汽包内真实水位()。
A:高
B:相等
C:低
D:不能判断
在空气和折射率为2的介质界面上发生全反射的临界角是()
所谓三极管工作在倒置状态,是指三极管()。
A:发射结正偏置,集电结反偏置
B:发射结正偏置,集电结正偏置
C:发射结反偏置,集电结正偏置
D:发射结反偏置,集电结反偏置
接地装置焊接应采用搭接焊,其搭接长度应满足的要求有( )。
A:扁钢与扁钢搭接应为扁钢宽度的2倍,不少于三面施焊
B:圆钢与圆钢搭接应为圆钢直径的4倍,双面施焊
C:扁钢与圆钢搭接应为圆钢直径的6倍,双面施焊
D:扁钢与钢管、扁钢与角钢焊接时,紧贴角钢外侧两面,或紧贴钢管1/2钢管
一定量的理想气体由a状态经过一过程到达b状态,吸热为335J,系统对外做功为126J;若系统经过另一过程由a状态到达b状态,系统对外做功为42J,则过程中传入系统的热量为()。
A:530J
B:167J
C:251J
D:335J
为了检测周期性复现的脉冲列中是否丢失脉冲或停止输出脉冲,可用()电路。
A:可重触发单稳
B:单触发单稳
C:施密特触发器
D:555定时器
联合后勤管理信息系统利用什么取代条形码,安置在每一个集装箱或货柜或特定的装备上()。
A:微电子芯片
B:计算机标签
C:射频辨识标签
D:人工扫描
如图所示,均质杆AB,质量为M,长为l,A端连接一质量为m的小球,并一起以角速度ω绕O轴转动,则此系统对O轴的动量矩和动能T为()。
A:
B:
C:
D:
光弹性效应
在数字系统中,常用的表示机器数的方法有()。
A:原码
B:反码
C:补码
D:编码
在何种输入情况下,“或非”运算的结果是逻辑0()。
A:全部输入是0
B:全部输入是1
C:任一输入为0,其他输入为1
D:任一输入为1
若函数,则当x=e,y=e-1时,全微分dz等于()。
A:edx+dy
B:e2dx-dy
C:dx+e2dy
D:edx+e2dy
结构体(ARCHITECTURE)用于描述设计单元的()
A:行为、元件及连接关系
B:元件、子程序、公用数据类型
C:名称和端口的引脚等
D:可编译的设计单元
GB1094.3中规定,对于Um≥252的电力变压器需要进行操作冲击试验。()
信息安全技术体系中应用安全包括()。
A:Email安全
B:Web访问安全
C:内容过滤
D:数据库系统安全
理想气体向真空作绝热膨胀,膨胀后系统的变化为()。
A:系统温度不变,压强减小
B:系统温度降低,压强减小
C:系统温度升高,压强减小
D:系统温度不变,压强不变
通常,根据所传递的内容不同,可将系统总线分为3类:数据总线、地址总线和()。
A:I/O总线
B:控制总线
C:系统总线
D:内部总线
图示矩形明渠断面的水力半径R=()。
A:
B:
C:
D:
变压器做空载试验时,如果平均值电压与方均根值之差在()以内,则此试验电压波形满足要求。
A:1%
B:2%
C:3%
D:4%
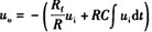
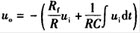
如图所示运算放大电路,输出uo与输入的关系式是()。
A:
B:
C:
D:
函数
可去间断点的个数为()。
A:1
B:2
C:3
D:无穷多个
招标投标活动应当遵循( )和诚实信用原则。
A:合法
B:公开
C:公平
D:公正
首页
<上一页
39
40
41
42
43
下一页>
尾页