自考题库
首页
所有科目
自考历年真题
考试分类
关于本站
游客
账号设置
退出登录
注册
登录
出自:电气试验工
在直流耐压试验中,作用在被试品上的直流电压波纹系数应不大于()。
A:3%
B:4%
C:5%
D:10%
决定工厂用户供电质量的指标为()。
A:电压
B:频率
C:可靠性
D:电流
低压三相四线系统中,可以只采用三芯裸铅包电缆的铅皮作为零线。
工作中不断移动位置或安设时不需构筑专门基础并且经常变动其工作地点的设备是()。
A:手持式电气设备
B:移动电气设备
C:固定式电气设备
绕组tgδ与原始值比较()可能是缺陷的反映,同一变压器各绕组tgδ应基本一致。
A:变大
B:变大或变小都
C:变小
现代输电线路上所采用的各种防雷保护措施主要有()、()、()、()、()、()、()、()。
暂时过电压包括()、()两类。
采用QS1电桥测量串级式电压互感器支架介损tgδ值时,可选择的接线方法是()。
A:自激法
B:末端加压法
C:末端屏蔽法
绝缘试验时要求温度不宜低于();湿度不宜高于()。
A:0℃;80%
B:0℃;90%
C:5℃;80%
D:5℃;90%
测量变压器直流电阻时,回路电流趋于稳定的时间长短取决于绕组的()的比值,该比值称为电路的()。
用交流电源测量按地装置的接地电阻时,在辅助电流接地极附近行走的人可能会发生触电危险。
正极性棒的电晕起始电压比负极性棒的电晕起始电压(),原因是崩头电子被正极性棒吸收,有利于电子崩的发展。
A:时高时低
B:相同
C:低
D:高
变电站直流电源正、负极接地对运行有哪些危害?
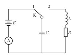
如图,
,电感线圈的电阻,
,C=100μF,当电流表指示为“0”时,将K合向“2”,试计算其固有频率f
0
及品质因数Q。
现场交接试验35kV等级的电气设备工频耐压试验最高试验电压为100kV。
变压器变压比测试方法有双电压表法、()两种。
A:回路电流法
B:接点电压法
C:变比电桥法
D:等值电路法
《安全生产法》:“安全第一、预防为主”是我国()的方针。
变压器空载电流的有功分量很小,而无功分量较大,所以变压器空载时,其功率因数很低,并且是感性的。
污闪过程包括积污、潮湿、干燥和局部电弧发展四个阶段。
现场测量tgδ时,往往出现-tgδ,阐述产生-tgδ的原因?
有一块单相电能表,其铭牌上标明()C=2500r/KWh,当接25W的灯泡工作4h,电能表的转盘转数为()r。
一台电容分压器高压臂C1由四节 (n=4)100kV,C=0.0066μF的电容器串联组成,低压臂C2由二节2.0kV,2.0μF的电容器并联组成,测量电压U1为交流400kV,求高低压臂C1、C2、分压比K和低压臂上的电压值U2。
负电荷运动的方向规定为电流流动的正方向。
R、L、C串联电路处于谐振状态时,电容C两端的电压等于()。
A:电源电压与电路品质因数Q的乘积;
B:电容器额定电压的Q倍;
C:无穷大;
D:电源电压。
辅助安全用具有()、()、绝缘垫。
当温度升高时,金属导体的电阻()。
A:增大
B:减小
C:不变
计算题:用QS1电桥测量110KV套管介损tg&时,试验电压为10KV,标准电容CN为50pF;电桥平衡时,R3=345Ω,试计算CX之值。(R4为定值3184Ω)
电压作用下,电介质流过的电流有()。
A:几何充电电容电流
B:吸收电流
C:泄漏电流
D:负荷电流
浸渍中的纤维材料可完全防止受潮。()
断路器()试验必须进行机械特性试验。
A:预防性
B:交接
C:大修后
D:以上全部
首页
<上一页
38
39
40
41
42
下一页>
尾页