自考题库
首页
所有科目
自考历年真题
考试分类
关于本站
游客
账号设置
退出登录
注册
登录
出自:统计学和统计法基础知识
普查可以摸清一个国家的国情、国力,因此在获取统计数据时会经常采用。
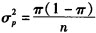
P的方差与抽样方法有关,在重置抽样条件下,p的方差为
在不重置抽样时,p的方差为
定基增长速度可以通过以下哪几种途径求得?( )
A:由环比增长速度连乘积求得
B:由定基发展速度减1求得
C:由平均发展水平除以最初水平再减1求得
D:由定基增长量除以最初水平求得
E:由平均增长量除以最初水平再乘以逐期增长量项数求得
重点单位的选择带有主观因素。()
在经国务院批准的周期性的普查项目中,每隔5年进行一次的普查项目是( )。
A:经济普查
B:人口普查
C:农业普查
D:第三产业普查
地方统计调查项目,由( )审批。
A:国家统计局
B:同级地方人民政府统计机构
C:同级地方人民政府
D:上一级地方人民政府统计机构
在回归分析中,自变量同因变量的地位不同,两变量x和y中,y对x回归和x对y回归()
A:是同一问题
B:不一定相同
C:有联系但不是一个问题
D:完全不同
采用移动平均法对时问数列修匀后所得到的一个新的时问数列()。
A:是由序时平均数组成的
B:是由一般平均数组成的
C:其项数一定少于原数列
D:其基本发展趋势同原数列不一致
E:其基本发展趋势同原数列一致
2006年8月,某市统计局在对某国有工业企业进行执法检查时,发现该企业2005年年报上报工资总额131.5万元,经检查实际为151.5万元,该企业2005年年报上报工业总产值1190万元,经查实际为937万元。对该企业的统计违法行为,可以由市统计局给予以下行政处罚()。
A:责令改正
B:暂扣或者吊销经营许可证
C:警告
D:罚款
极差容易受数据中极端值的影响,不能准确地描述数据的分散程度。
某企业生产环保垃圾袋,包装标准是每包平均装100个垃圾袋。假定每包的垃圾袋数量服从正态分布,且标准差为3,则95.45%的包装中垃圾袋数量的取值范围是()。
A:(100-3,100+3)
B:(100-6,100+6)
C:(100-9,100+9)
D:(100-18,100+18)
指数的作用包括()
A:综合反映事物的变动方向
B:综合反映事物的变动程度
C:利用指数可以进行因素分析
D:研究事物在长时间内的变动趋势
E:反应事物之间相互关系的密切程度
下列
不属于
收入再分配手段的是()
A:最低工资保障
B:最低生活保障
C:税收
D:社会保险
根据《统计法》规定,下列行为中,属于统计违法行为的是()。
A:虚报瞒报或者伪造篡改统计资料
B:虚报瞒报或者拒报迟报统计资料
C:虚报瞒报或者提供不完整的统计资料
D:提供不真实或者不完整的统计资料
《统计法》规定,统计调查应当以周期性普查为主体,以抽样调查为基础,以必要的统计报表、重点调查等为补充,搜集、整理基本统计资料。
统计资料管理,按照我国统计工作的管理体制,实行统一领导,分级管理的原则。( )
移动平均法是通过计算逐项移动的序时平均数,来形成派生数列,从而达到()对数列的影响。
A:消除偶然因素引起的不规则变动
B:消除非偶然因素引起的不规则变动
C:消除绝对数变动
D:消除计算误差
统计行政管理相对人在法定的期限内既未申请复议,也未起诉,而又不履行行政处罚决定的,统计行政机关可以()
A:将相对人行政拘留
B:依法申请法院强制执行
C:协商解决
D:起诉
各组频数的计算不能重复,恰好重叠在组限上的变量值一般归入上限的一组,即遵循“上限不在内”原则。()
统计总体与总体单位之间的关系表现为()。
A:二者是固定不变的
B:总体是总体单位数量标志的总和
C:总体只是由存在数量标志的总体单位构成的
D:总体与总体单位在一定条件下是可以变换的
不应由国家统计局所在地的中级人民法院审理第一审统计行政诉讼案件的是()。
A:对国家统计局做出的具体行政行为不服而提起诉讼的
B:经过复议,国家统计局改变了某省统计局做出的具体行政行为,相对人对复议决定仍然不服而提起诉讼的
C:对国家统计局做出的具体行政行为不服,经过行政复议后仍不服而提起诉讼的
D:对北京市统计局做出的统计行政处罚决定不服而提起诉讼的
某企业生产某种产品,其产量年年增加5万吨,则该产品产量的环比增长速度( )。
A:年年下降
B:年年增长
C:年年保持不变
D:无法做结论
下列关于众数的叙述,正确的是()。
A:一组数据可能存在多个众数
B:众数主要适用于分类数据
C:一组数据的众数是唯一的
D:众数不受极端值的影响
E:一组数据的众数不一定是唯一的
统计调查制度中调查表式是指要求被调查对象填报的统计表格式。
某省统计局在一次常规的工作检查中发现,该省某县的统计数据质量存在较大问题。经查,该县统计局按照工作程序搜集、汇总、核算出统计数据后,报告给该县领导人员。县领导人员马上开会对统计数据进行了讨论分析和研究,认为统计局所报的统计数据与本县的实际情况不符,需要重新核实填报。于是,县统计局组织部分析工作人员对统计数据进行了调整,得到县领导人员的认可后,才向上级统计机构报送。请根据上述资料,从备选答案中选出正确作案。该省统计局这次常规的工作检查行为属于()。
A:预防性统计执法行为
B:查找统计违法隐患行为
C:减少统计违法行为
D:统计监督行为
关于回归方程的统计检验中,说法正确的是()
A:对线性回归方程的显著性进行检验时,需进行F检验
B:对线性回归方程的显著性进行检验时,需进行t检验
C:对线性回归方程的显著性进行检验时,需进行R检验
D:对回归系数的显著性进行检验时,需进行F检验
E:对回归系数的显著性进行检验时,需进行t检验
统计行政复议参加人,包括( )。
A:申请人
B:被申请人
C:复议第三人
D:复议法定理人
E:被告
根据《统计法》的相关规定,统计机构包括()。
A:国家统计局
B:国家统计局的派出调查机构
C:乡、镇人民政府设置的统计工作岗位
D:县级以上地方人民政府设立的统计机构
E:县级以上人民政府有关部门根据统计任务的需要设立的统计机构
可用来判断现象相关方向的指标有()
A:相关系数
B:回归系数
C:回归方程参数a
D:估计标准误
E:x、y的平均数
帕雷托最优状态的实现条件包括()。
A:交换的帕雷托最优条件
B:生产者实现利润最大化
C:生产和交换的帕雷托最优条件
D:分配的帕雷托最优条件
E:使用的帕雷托最优条件
首页
<上一页
2
3
4
5
6
下一页>
尾页