自考题库
首页
所有科目
自考历年真题
考试分类
关于本站
游客
账号设置
退出登录
注册
登录
出自:电气工程公共基础
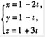
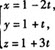
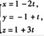
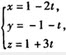
设直线L的方程为
则L的参数方程是().
A:
B:
C:
D:
在定义安全需要时下列人员中谁应为信息安全管理提供输入()。
A:配置管理经理
B:数据库管理员
C:顾客
D:服务台人员
下列可作为保护导体的有( )。
A:单芯电缆的芯线
B:导体外部的工作零线
C:固定敷设的裸导体或绝缘导体
D:金属外护层、屏蔽体及铠装层等
温升试验的保证值是指变压器在最大损耗分接的测量值.( )
关于冲击电压发生器的基本原理,下列叙述正确的是()。
A:电容器并联充电,而后并联放电。
B:电容器串联充电,而后串联放电。
C:电容器串联充电,而后并联放电。
D:电容器并联充电,而后串联放电。
网络设备中HUB是指()。
A:网卡
B:网桥
C:服务器
D:集线器
流体的温度不变,压力增加时,体积会()。
A:不变
B:减小
C:增大
)对于理想气体系统来说,下列哪个过程中,系统吸收的热量、系统内能的增量和对外做的功三者均为负值?()
A:等容降压过程
B:等温膨胀过程
C:绝热膨胀过程
D:等压压缩过程
建设项目经济评价的计算期是指()。
A:投资决策期和建设期
B:投资决策期和生产经营期
C:建设期和生产经营期
D:生产经营期
在设计过程中,逻辑函数化简的目的是()。
A:获得最简与或表达式
B:用最少的逻辑器件完成没计
C:用最少的集电门完成设计
D:获得最少的与项
在用数据选择器设计逻辑电路时,如果要求输入变量的个数m大于数据选择器的地址端个数n时,常用什么方法解决。()
A:级连法
B:扩展法
C:降维法
D:重新选择器件,使m=n
用PLA进行逻辑设计时,应将逻辑函数表达式变换成()式。
A:与非与非
B:异或
C:最简与或
D:最简或与
电流互感器的二次额定电流一般为( )。
A:10A
B:100A
C:5A
D:0.5A
下面关于几何安装高速Hg的论述
不正确
的是()。
A:中小型卧式离心泵的几何安装高度Hg是指泵轴中心到吸水池液面的垂直距离
B:立式离心泵的几何安装高度Hg是指第一级叶轮进口边的中心到吸水池液面的垂直距离
C:大型泵的几何安装高度Hg以叶轮进口边最高点到吸水池液面的垂直距离
D:泵的几何安装高度Hg与泵的类型、大小和安装方式无关
对于强迫油循环有导向冷却方式的变压器,由顶层温度可以近似认为是线圈内部油的温度。()
负载试验中,当发电机容量不够时,通常用电容器来补偿。其目的是为系统提供滞后的无功电流。
下列结论正确的是().
A:z=f(x,y)在点(x,y)的偏导数存在是f(x,y)在该点连续的充分条件
B:z=f(x,y)在点(x,y)连续是f(x,y)的偏导数存在的必要条件
C:z=(x,y)在点(x,y)的偏导数存在是f(x,y)在该点可微分的充分条件
D:z=(x,y)在点(x,y)连续是f(x,y)在该点可微分的必要条件
计算机硬件由()组成。
A:CPU、存储器和输入输出设备
B:主机和计算机软件
C:操作系统和应用程序
D:CPU和显示器
IPV6要求链路层的最小MTU为多少字节()。
A:64
B:128
C:256
D:1280
非均匀加宽
依据《合同法》的规定,当事人可以解除合同的情形是()。
A:债务人依法将标的物提存
B:债权人免除债务
C:因不可抗力致使不能实现合同目的
D:债务相互抵销
电流二次回路切换时:应停用相应的保护装置;严禁操作过程中_________。
信息容量
什么是光学系统的慧差?
对于HCl气体溶解于水的过程,下列说法正确的是()。
A:这仅是一个物理变化的过程
B:这仅是一个化学变化的过程
C:此过程既有物理变化,又有化学变化
D:此过程中溶质的性质发生了变化,而溶剂的性质未发生变化
变压器系_________、________跳闸,在未查明原因和消除故障之前,不得送电
质量一定的理想气体,从相同状态出发,分别经历等温过程、等压过程和绝热过程,使其体积增加一倍.那么气体温度的改变(绝对值)在()
A:绝热过程中最大,等压过程中最小.
B:绝热过程中最大,等温过程中最小.
C:等压过程中最大,绝热过程中最小.
D:等压过程中最大,等温过程中最小.
图4-47所示机构中,杆AB的运动形式为()。
A:定轴转动
B:平行移动
C:平面运动
D:以O为圆心的圆周运动
设向量a=(-2,4,4),b=(0,6,3),则a与b的夹角为().
A:
B:
C:
D:
数据库管理系统(DBMS)属于()。
A:应用软件
B:编辑软件
C:会话软件
D:系统软件
首页
<上一页
2
3
4
5
6
下一页>
尾页