自考题库
首页
所有科目
自考历年真题
考试分类
关于本站
游客
账号设置
退出登录
注册
登录
出自:基础考试
均质细杆AB重P,长2L,A端铰支,B端用绳系住,处于水平位置,如图所示。当B端绳突然被剪断瞬时,杆AB的角加速度大小为
,则A处的约束力大小为()。
A:A
B:B
C:C
D:D
测量误差按其性质分为下列中哪两种?()
A:中误差、极限误差
B:允许误差、过失误差
C:平均误差、相对误差
D:系统误差、偶然误差
在RLC串联电路中,电容C可调,已知R=500Ω,L=60mH,要使电路对f=2820Hz的信号发生谐振,C值应调到()μF。
A:0.053
B:0.064
C:0.11
D:0.94
岩石的块体密度可分为()。
A:烘干密度
B:天然密度
C:湿密度
D:饱和密度
进行塑性密封止水材料拉伸黏结性能测试时,其断裂伸长率越()越好,且()
A:大,与水泥砂浆板黏结界面不脱开
B:小,与水泥砂浆板黏结界面不脱开
C:大,水泥试块完整
D:小,塑性密封材料完整
误差的来源为下列中的哪些?()
A:测量仪器构造不完善
B:观测者感觉器官的鉴别能力有限
C:外界环境与气象条件不稳定
D:A、B和C
某点到大地水准面的铅垂距离对该点称为:()
A:相对高程
B:高差
C:标高
D:绝对高程
图示三种单自由度动力体系中,质量m均在杆件中点,各杆EI、l相同。其自振频率的大小排列次序为:()
A:A.>B.>C.
B:B.C.>B.>
C:C.B.>>C.
D:D.>C.>B.
对于下图,下列说法中,哪一个是错误的?()
A:对理想流体,测压管水头线(H
P
)应该沿程无变化
B:该图是理想流体流动的水头线
C:对理想流体,总水头线(H
0
)沿程无变化
D:该图不适用于描述实际流体的水头线
设
,若将f(x)展开成正弦级数,则该级数在
处收敛于()
A:
B:
C:
D:0
在采用静力荷载试验法原位测定土体承载力时,加载等级一般分为10~12级,并不应少于()。
A:5
B:6
C:7
D:8
在双缝装置实验中,对于给定的入射单色光,当双缝间距增大时,则屏幕上干涉条纹的变化情况是:()
A:条纹变密并远离屏幕中心
B:条纹变密并靠近屏幕中心
C:条纹变宽并远离屏幕中心
D:条纹变宽并靠近屏幕中心
表面应力恢复法测试岩体应力时,加压退压方式一般采用()。
A:逐级一次循环加压
B:逐级连续加压
C:大循环法
D:逐级一次反复循环加压
直径为d的实心圆轴受扭,为使扭转最大切应力减小一半,圆轴的直径应改为:()
A:2d
B:0.5d
C:
D:
作用在平面上的三力F
1
、F
2
、F
3
,组成图示等边三角形,此力系的最后简化结果为:()
A:平衡力系
B:一合力
C:一合力偶
D:一合力与一合力偶
如果把一个小功率二极管直接同一个电源电压为1.5V、内阻为零的电池实行正向连接,电路如图所示,则后果是该管()。
A:击穿
B:电流为零
C:电流正常
D:电流过大使管子烧坏
电路如图所示,U
s
为独立电压源,若外电路不变,电阻R下降会引起()。
A:端电压U变化
B:输出电流I的变化
C:R电阻支路电流的变化
D:R电阻电压的变化
对化学反应2NO(g)+O
2
(g)=2NO
2
(g),在下列各速率关系中正确的是()。
A:A
B:B
C:C
D:D
一圆断面风道,直径为250mm,输送10℃的空气,其运动粘度为14.7×10
-6
m
2
/s,若临界雷诺数为2300,则保持层流流态的最大流量为:()
A:12m
3
/h
B:18m
3
/h
C:24m
3
/h
D:30m
3
/h
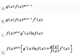
设f(x)、g(x)可导,且
=()。
A:A
B:B
C:C
D:D
如图所示的应力状态单元体若按第四强度理论进行强度计算,则其相当应力σ
r4
等于:()
A:A
B:B
C:C
D:D
矩形截面对称配筋的偏心受压构件,发生界限破坏时的N
b
值与ρ值有何关系?()
A:将随配筋率ρ值的增大而增大
B:将随配筋率ρ值的增大而减小
C:N
b
与ρ值无关
D:N
b
与ρ值无关,但与配箍率有关
实心圆轴①和空心圆轴②,它们的横截面面积均相同,受相同扭矩作用,则其最大切应力有四种答案:()
A:τ
max2
>τ
max1
B:τ
max2
<τ
max1
C:τ
max2
=τ
max1
D:无法比较
图示变截面短杆,AB段的压应力σ
AB
与BC段压应力σ
BC
的关系是:()
A:A
B:B
C:C
D:D
圆轴直径为d,剪切弹性模量为G,在外力作用下发生扭转变形,现测得单位长度扭转角为θ,圆轴的最大切应力是()。
A:A
B:B
C:C
D:D
平面刚性直角曲杆的支承、尺寸与载荷均已知,且F
pa
>m。B处插入端约束的全部约束力各为:()
A:A
B:B
C:C
D:D
平面简谐波的波动方程为y=0.01cos10π(25t-x)(SI),则在t=0.1s时刻,x=2m处质元的振动位移是:()
A:0.01cm
B:0.01m
C:-0.01m
D:0.01mm
某基坑深7m,0~3m为粉细砂,地下水位为4.0m,现拟采用井点法进行基坑降水,井深20m,渗流计算的类型为()。
A:潜水非完整井
B:潜水完整井
C:承压水非完整井
D:承压水完整井
视准轴是指()的连线。
A:目镜光心与物镜光心
B:目镜光心与十字处交点
C:物镜几何中心与十字丝交点
D:物镜光心与十字丝交点
下列属于防渗墙质量主要检测方法的有()
A:防渗围井检测法
B:静力触探检测法
C:注水试验检测法
D:测压管检测法
E:同位素示踪法
首页
<上一页
37
38
39
40
41
下一页>
尾页