自考题库
首页
所有科目
自考历年真题
考试分类
关于本站
游客
账号设置
退出登录
注册
登录
出自:计算机科学
在Internet选项窗口中的“程序”选项卡中,下列叙述错误的是()。
A:在“Internet程序”项中,可以指定Windows自动用于每个Internet服务的程序
B:在“Internet程序”项中,包括HTML编辑器,电子邮件等
C:可“重置Web设置”,将InternetExplorer重置为使用默认的主页和搜索页等
D:可以设置连接网络的代理服务器
在Windows 7中,“显示预览窗格”按钮在窗口的()部分。
A:菜单栏
B:状态栏
C:工具栏
D:库窗格
每个子应用对应一个单独的RequestProcessor实例。
一个算符优先文法可能不存在算符优先函数与之对应。
声波有3个重要指标()
A:振幅
B:周期
C:响度
D:频率
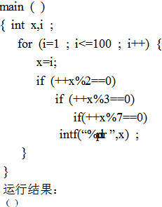
写出下面程序运行的结果。
Fireworks中工具的快捷键由()组成。
A:字母和数字
B:辅助键和字母
C:辅助键和数字
D:符号和字母
构成RGB色彩模型的三种基本颜色是()
局域网可涵盖的范围大约在()
A:2km内
B:2~10km
C:10km以上
D:没有范围限制
下列关于1Kb/S准确的含义是()。
A:1000b/S
B:1000B/S
C:1024b/S
D:1024B/S
在dreammeaver中,下面哪些对象对其设置超链接的是:()。
A:任何文字
B:图像
C:图像的一部分
D:表格
报表的细节带区的内容,在打印时出现的频率是()。
A:每记录出现一次
B:每记录出现多次
C:每列出现一次
D:每列出现多次
在制作用于网络发布的视频节目时,由于()和()和()时是一致的,可以不必考虑安全区域的限制,在监视器窗口中看到的画面范围,也将是最终用户所看到的画面范围。
在VFP6.0处于创建或编辑自由表、程序等文件时,系统处于"全屏幕编辑状态",欲存盘退出,正确的操作是()
A:按组合键Ctrl+W
B:按组合键Ctrl+U
C:按组合键Ctrl+End
D:按Esc键
程序运行工程中,清除BMP图片框中的图片应使用语句()。
在画笔工具选项中不可以设定的内容是()
A:喷枪
B:透明度
C:压力
D:容差
BIOS的作用之一是在PC机加电时诊断计算机故障及启动计算机工作。
外设是为扩充主机功能而设计的下列设备中只能作为输入设备的是()
A:打印机
B:鼠标
C:显示器
D:调制解调器
关于内容耦合的描述正确的是()
A:内容耦合是最高程度的耦合
B:应该尽量使用内容耦合
C:高级语言一般设计成允许内容耦合的形式
D:若一个模块有多个入口,可能发生内容耦合
一个典型的嵌入式系统软件从下至上分别为中间层、()、系统服务层和应用层。
目前,DVD盘上的信息是()
A:可以反复读和写
B:只能读出
C:可以反复写入
D:只能写入
试比较同步通信和异步通信。
请编写函数,其功能是对传送过来的两个浮点数求出和值与差值,并通过形参传送回调用函数。
下面是关于SCSI(小型计算机标准接口)的叙述,其中错误的是:()
A:SCSI总线上连接的设备,可以是启动设备,也可以是目标设备
B:一个SCSI适配器能通过SCSI总线连接多个外设
C:连接在SCSI总线上的外设可以相互通信,不会加重主机的负担
D:SCSI总线以串行方式传送数据
若想在桌面上建立"写字板"的快捷菜单,其操作步骤为()
A:选择"写字板"
B:单击鼠标右键出现快捷菜单
C:单击鼠标左键出现快捷菜单
D:选"发送到",并单击"桌面快捷方式"
E:选择"创建快捷方式"
计算机系统中的时钟频率有()几种。
A:主频
B:外频
C:接口时钟
D:网络时钟
网页中的超级链接可以链接到()
A:链接到本网站中的其他网页
B:链接到本文件中某锚点位置
C:可以其他站点中的某个位置
D:可以链接到某网站中的某个文件对象
有关于“块”的修改有几项()
A:单个
B:多个
C:全局
D:块属性管理器
计算机具有强大的信息处理能力,但始终不能模拟或替代人的智能活动,当然更不可能完全脱离人的控制与参与。
8255A工作在方式1的输出时,信号的低电平表示()。
A:输入缓冲器满信号
B:输入缓冲器空信号
C:输出缓冲器满信号
D:输出缓冲器空信号
首页
<上一页
387
388
389
390
391
下一页>
尾页