自考题库
首页
所有科目
自考历年真题
考试分类
关于本站
游客
账号设置
退出登录
注册
登录
出自:基础考试
网络软件是实现网络功能不可缺少的软件环境。网络软件主要包括()。
A:网络协议和网络操作系统
B:网络互连设备和网络协议
C:网络协议和计算机系统
D:网络操作系统和传输介质
图示细长压杆AB的A端自由,B端固定在简支梁上。该压杆的长度系数μ是:()
A:μ>2
B:2>μ>1
C:1>μ>0.7
D:0.7>μ>0.5
图示桁架结构杆①的轴力为:()
A:-P/2
B:P
C:3/2P
D:2P
悬臂梁受载情况如图所示,在截面C上:()
A:剪力为零,弯矩不为零
B:剪力不为零,弯矩为零
C:剪力和弯矩均为零
D:剪力和弯矩均不为零
如图所示,三相正弦交流电路中,对称负载接成三角形,已知电源线电压U
L
=220V,每相阻抗Z=15+j16.1Ω,当AB相断路时,电流表的读数是()A。
A:5
B:8.6
C:10
D:17.3
在下图中,线圈a的电阻为R
a
,线圈b的电阻为R
b
,两者彼此靠近如图所示电路中,磁性材料上绕有两个导电线圈,其上方线圈是100V的交流电压,则()。
A:下方线圈两端不会产生磁感应电势
B:下方线圈两端产生磁感应电势,方向为左“-”右“+”
C:下方线圈两端产生磁感应电势,方向为左“+”右“-”
D:磁性材料内部的磁通取逆时针方向
在荷载作用下,引起饱和地基土固结沉降的主要因素是()
A:地基中水的排出
B:地基中气体的压缩
C:地基中土颗粒的压缩
D:地基中水的压缩
图a)电路按戴维南定理等效图b)所示电压器时,计算R的正确算式是()。
A:A
B:B
C:C
D:D
某反应A(g)+B(g)=C(g)的速率方程为v=K{c(A)}
2
c(B),若使反应密闭容积增大1倍,则其反应速率为原来的()。
A:1/6
B:8倍
C:1/4
D:1/8
在《建筑基坑支护技术规程》(JGJ120—1999)中,对于基坑支护结构土钉墙类型适用于下列()种情况。
A:地下水丰富且需防止管涌
B:基坑侧壁安全等级为一级
C:基坑高度在20m以下的软土场地
D:基坑侧壁安全等级为二、三级,基坑深度不大于12m的非软土场地
已知土的内摩擦角为045,滑动面上的法向应力为100Kpa,土的粘聚力100Kpa,则由库仑定律可求得抗剪强度()
A:100Kpa
B:200Kpa
C:300Kpa
D:400Kpa
假定氧气的热力学温度提高1倍,氧分子全部离解为氧原子,则氧原子的平均速率是氧分子平均速率的多少倍?()
A:4倍
B:2倍
C:
倍
D:1/
已知图示等直杆的轴力图(N图),则该杆相应的荷载图如下列何项所示?()(图中集中荷载单位均为kN,分布荷载单位均为kN/m)。
A:图A
B:图B
C:图C
D:图D
函数
的定义域为()
A:(-∞,-4)
B:(-4,1)
C:[1,4]
D:(4,+∞)
根据恒定流的定义,下列说法中正确的是:()
A:各断面流速分布相同
B:各空间点上所有运动要素均不随时间变化
C:流线是相互平行的直线
D:流动随时间按一定规律变化
图示体系,质点的运动方程为:()
A:A
B:B
C:C
D:D
强夯加固后的地基不可以立即进行质量检测。
在混凝土与岩体接触面直剪试验中,规范推荐的剪切荷载的施加方法是()。
A:平推法
B:5级加至预定荷载
C:8~10级均匀等量施加剪应力
D:斜推法
静力载荷试验中,浅层平板载荷试验的设备由()组成.
A:加荷系统
B:反力系统
C:量测系统
D:支撑系统
E:平衡系统
一般情况下,锚索需施加预应力而锚杆一般不施加预应力。因此,只有当被锚固岩土体发生一定变形时,锚杆才发挥锚固力。
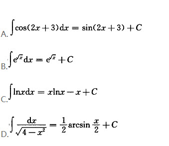
下列积分式中正确的是()
A:A
B:B
C:C
D:D
明渠均匀流的特征是:()
A:断面面积沿程不变
B:壁面粗糙度及流量沿程不变
C:底坡不变的长渠
D:水力坡度、水面坡度、河底坡度皆相等
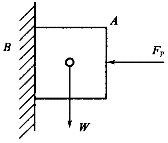
物块A重W=10N,被用水平力F
p
=50N挤压在粗糙的铅垂墙面B上,且处于平衡。物块与墙间的摩擦系数f=0.3。A与B间的摩擦力大小为:()
A:F=15N
B:F=10N
C:F=3N
D:只依据所给条件则无法确定
铸铁材料简支梁,承受集中力偶m作用如图5-7-12所示,横截面有图示四种(y
1
=2y
2
)其中能承受许用力偶矩m最大的截面梁为:()
A:A
B:B
C:C
D:D
在一幅等高距为h的地形图中,下列哪项正确?()
A:两根等高线间的高差为h
B:相邻等高线间的高差为h
C:相邻计曲线间的高差为h
D:相邻等高线之间的水平距离为h
图示超静定刚架,用力法计算时,可选取的基本体系是:()
A:图A.、B.和C.
B:B.图、B.和D.
C:C.图、C.和D.
D:D.图、C.和D.
3d轨道的磁量子数m的合理值是:()
A:1、2、3
B:0、1、2
C:3
D:0、±1、±2
人们根据特定的需要,预先为计算机编制的指令序列称为()。
A:软件
B:程序
C:文档
D:语言
土工合成材料用作加筋、隔离或包容等功能时,拉伸强度和拉伸应变是设计中不会涉及的指标。
对于
中的平均平动动能
正确的理解应为()。
A:
是某一分子的平均平动动能
B:
是某一分子的能量长时间的平均值
C:
是温度为T的几个分子的平均平动动能
D:气体的温度越高,分子的平均平动动能越大
首页
<上一页
36
37
38
39
40
下一页>
尾页