自考题库
首页
所有科目
自考历年真题
考试分类
关于本站
游客
账号设置
退出登录
注册
登录
出自:电气工程公共基础
下列电路属于无稳态电路的是()。
A:施密特触发器
B:多谐振荡器
C:单稳态触发器
D:石英晶体振荡器
有两种理想气体,第一种的压强记作p1,体积记作V1,温度记作T1,总质量记作m1,摩尔质量记作M1;第二种的压强记作P2,体积记作V2,温度记作T2,总质量记作m2,摩尔质量记作M2。当p1=p2,V1=V2,T1=T2时,则为()。
A:
B:
C:
D:
如图7-47所示为三相异步电动机正反转电路中的控制电路。控制正转和控制反转的支路中分别串接了KM、KMF两个常闭触头,它们所起的作用是()。
A:保证两个吸引线圈不发生短路
B:保证两个接触器不同时动作
C:保证主电路交换两相电源线
D:保证两个吸引线圈同时得电吸合
把数字量转换成相应模拟量的转换器件称为()。
A:A/D转换器
B:ADC
C:D/A转换器
D:DAC
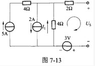
如图7-13所示电路的戴维南等效电路参数US和RS各为下列何值?()
A:9V,2Ω
B:3V,4Ω
C:3V,6Ω
D:9V,6Ω
下面选项中,
不属于
分时系统的基本特征的是()。
A:同时性
B:独立性
C:实时性
D:交互性
幂级数的收敛半径为2,则幂级数的收敛区间是()
A:(-2,2)
B:(-2,4)
C:(0,4)
D:(-4,0)
一台额定频率为50Hz的电力变压器接于60Hz,电压为此变压器的6/5倍额定电压的电网上运行,此时变压器磁路饱和程度(),励磁电流(),励磁电抗(),漏电抗()。
图4-28中,桁架结构形式与载荷FP均已知。结构中杆件内力为零的杆件数为()。
A:零根
B:2根
C:4根
D:6根
已知
,则
为()。
A:442.3kJ·mol-1
B:260.7kJ·mol-1
C:-260.7kJ·mol-1
D:-442.3kJ·mol-1
高密度可编程逻辑器件通常集成规模大于()门。
A:100
B:1000
C:10000
D:10000
有载调压开关动触头的动作顺序为离开—接触—打响—完成一级。()
做为EPCDS服务中的最重要组成部分,对象命名服务ONS储存提供EPC信息服务的地址信息,以()作为搜寻的主键值。
A:EPC编码
B:产品电子码
C:二维码
D:电子识别码
在小电流接地系统中,发生金属性接地时接地相的电压( )。
A:等于零
B:等于10kV
C:升高
D:不变
在工程项目实施阶段质量控制中,监理工程师对承建单位做出的各种指令,除特殊情况外,一般采用()。
A:监理工程师采用邮件传达方式
B:监理工程师直接口头下达方式
C:书面文件形式
D:书面或口头方式
依据《环境保护法》的规定,凡是向已有地方污染物排放标准的区域排放污染物的,应当执行()标准。
A:国家环境质量
B:国家污染物排放
C:地方环境质量
D:地方污染物排放
在继电一接触器控制电路中,自锁触头起着失电压保护作用,保护的功能是()。
A:防止电源电压降低时,电动机突然停机
B:防止电源电压降低时,电动机带不动负载而烧毁
C:防止突然停电后再恢复供电时,吸引线圈短路
D:防止突然停电后再恢复供电时,电动机自行起动
设X是随机变量,已知P(X≤1)=p,P(X≤2)=q,则P(X≤1,X≤2)等于().
A:p+q
B:p-q
C:q-p
D:p
绘制零件图有哪些技术要求?
干涉法
试述变压器激磁电抗和漏抗的物理意义。它们分别对应什么磁通,对已制成的变压器,它们是否是常数?
三态门的输出端状态包括()。
A:高电平
B:低电平
C:高阻
D:失效
计算机软件保护条例颁布日()。
A:1991年6月4日
B:1992年6月4日
C:1993年4月1日
D:1994年12月25日
导体切割磁力线时,其产生感应电动势的大小与磁场的磁感应强度( )
A:的平方成正比
B:的一次方成正比
C:的大小无关
D:成反比
程序计数器的作用是存放()。
A:下一条要执行的指令地址
B:当前正在执行的指令地址
C:当前正在执行的一条指令
D:下一条要执行的指令
CUPL语言中$是什么运算符()。
A:与运算符
B:或运算符
C:异或运算符
D:求补运算符
图示物块A和B叠放在水平固定面上。物块A与B之间的摩擦系数为f1=0.20(动摩擦系数可近似取此值)。物块B与固定面间的摩擦系数为f2=0.250物块A重WA=10N,物块B重WB=20N。若在物块A上施加力P=3N,则物块A和B能否保持平衡状态应为()。
A:A相对B滑动,B平衡
B:A、B物块都平衡
C:A、B物块都要滑动
D:A相对B平衡,B滑动
在图示电路中,各触发器的初始状态均为0,该电路的状态表如表1所示,经分析知,该电路是()。
A:右移寄存器
B:左移寄存器
C:并行数据寄存器
D:串行数据寄存器
欲使水力最优梯形断面渠道的水深和底宽相等,则渠道的边坡系数m应为()。
A:1
B:3/4
C:1/2
D:1/4
供应商管理的原则包括()。
A:选择比我们差的供应商确保客户不流失;
B:考核明确,严格审查;
C:统一形象统一流程;
D:引进合理竞争;
首页
<上一页
33
34
35
36
37
下一页>
尾页