自考题库
首页
所有科目
自考历年真题
考试分类
关于本站
游客
账号设置
退出登录
注册
登录
出自:基础考试
管涌是渗透变形的一种形式,可以发生在渗流逸出处,也可以发生于土体内部。
直角杆CDA和T字形杆BDE在D处铰接,并支承如图所示。若系统受力偶矩为M的力偶作用,不计各杆自重,则支座A约束力的方向为:()
A:FA的作用线沿水平方向
B:FA的作用线沿铅垂方向
C:FA的作用线平行于D、B连线
D:FA的作用线方向无法确定
根据热力学第二定律可知:()
A:功可以完全转换为热量,但热量不能全部转换为功
B:热量可以从高温物体传到低温物体,但不能从低温物体传到高温物体
C:不可逆过程就是不能向相反方向进行的过程
D:一切自发过程都是不可逆的
二进制数中右起第10位上的1相当于2的次方数为()。
A:8
B:9
C:10
D:11
图示刚梁AB由标1和杆2支承。已知两杆的材料相同,长度不等,横截面面积分别为A
1
和A
2
,若荷载P使刚梁平行下移,则其横截面面积:()
A:A
1
B:A
1
=A
2
C:A
1
>A
2
D:A
1
、A
2
为任意
图示垂直置于水中的矩形平板闸门,宽度b=1m,闸门高h=3m,闸门两侧水深分别为H
1
=5m,H
2
=4m,闸门所受总压力为:()
A:29.4kN
B:132.3kN
C:58.8kN
D:73.5kN
在单缝夫琅和费衍射实验中,屏上第三级明纹对应的缝间的波阵面,可划分半波带的数目为:()
A:5个
B:6个
C:7个
D:8个
设可导函数f(x)满足xf′(x)-f(x)>0,则()。
A:单调减少
B:单调增加
C:是常数且为1
D:是常数且为2
下列曲面的结论中,错误的是()
A:2x
2
-3y
2
-z
2
=1表示双叶双曲面
B:2x
2
+3
2
-
2
=1表示单叶双曲面
C:2x
2
+3
2
-
2
=1表示椭圆抛物面
D:2(x
2
+
2
)-
2
=1表示锥面
在碳酸盐岩石地区,土洞和塌陷一般由下列()种原因产生。
A:地下水渗流
B:岩溶和地下水作用
C:动植物活动
D:含盐土溶蚀
如图所示桌面上三个容器,容器中水深相等,底面积相等(容器自重不计),但容器中水体积不相等。下列哪种结论是正确的?()
A:容器底部总压力相等,桌面的支撑力也相等
B:容器底部的总压力相等,桌面的支撑力不等
C:容器底部的总压力不等,桌面的支撑力相等
D:容器底部的总压力不等,桌面的支撑力不等
图示结构用位移法计算时的基本未知量最小数目为:()
A:10
B:9
C:8
D:7
使用某种高级语言编写的程序一般称为()。
A:源程序
B:编辑程序
C:编译程序
D:解释程序
岩石抗拉强度是反映岩石力学特征的重要参数,是划分岩石级别和评定岩石质量的重要指标。
有两种理想气体,第一种的压强记作p
1
,体积记作V
1
,温度记作T
1
,总质量记作m
1
,摩尔质量记作M
1
;第二种的压强记作p
2
,体积记作Vp
2
,温度记作Tp
2
,总质量记作mp
2
,摩尔质量记作Mp
2
。当V
1
=V
2
,T
1
=T
2
,m
1
=m
2
时,则
为:()
A:
B:
C:
D:
岩块可近似看作为一种()材料。
A:各向同性
B:各向异性
C:连续性
D:均质
绳子的一端绕在滑轮上,另一端与置于水平面上的物块B相连,若物块B的运动方程为x=Kt
2
,其中K为常数,轮子半径为R。则轮缘上A点的加速度大小为()。
A:A
B:B
C:C
D:D
一平面简谐波在弹性媒质中传播时,某一时刻在传播方向上一质元恰好处在负的最大位移处,则它的:()
A:动能为零,势能最大
B:动能为零,势能为零
C:动能最大,势能最大
D:动能最大,势能为零
某放热反应正反应活化能是15kJ/mol,逆反应的活化能是:()
A:-15kJ/mol
B:大于15kJ/mol
C:小于15kJ/mol
D:无法判断
为防止汽车水箱结冰,可加入甘油以降低水的凝固点,如需冰点降至-20℃,则在1000克水中应加甘油(M
甘油
=96,K
f
=1.864℃·kg·mol
-1
)()g。
A:99.8
B:125
C:209
D:989
设函数,
=()。
A:A
B:B
C:C
D:D
设a>0,定积分
( )
A:π/4
B:π/2
C:π
D:2π
横波以波速u沿x轴负方向传播,t时刻波形曲线如图。则关于该时刻各点的运动状态,下列哪一个叙述是正确的?()
A:A点振动速度大于零
B:B点静止不动
C:C点向下运动
D:D点振动速度小于零
一束光强为I
0
的自然光垂直穿过两个偏振片,此两偏振片的偏振化方向成45°角,若不考虑偏振片的反射和吸收,则穿过这两个偏振片后的光强I为()。
A:
B:I/2
C:I/4
D:
柱下桩基承台的弯矩计算公式
中,当考虑承台效应时,N
i
不包括
下列哪一部分荷载引起的竖向力?()
A:上覆土自重
B:承台自重
C:上部结构传来荷载
D:上覆土及承台自重
图5-10-13所示截面为带圆孔的方形,其截面核心图形有四种答案:()
A:A
B:B
C:C
D:D
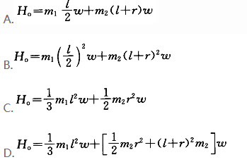
长为L,质量为m
1
的均质杆OA的A端焊接一个半径为r,质量为m
2
的均质圆盘,该组合物体绕O轴转动的角速度w,则系统对O轴的动量矩H。()。
A:A
B:B
C:C
D:D
关于预应力混凝土轴心受拉构件的描述,下列说法
不正确
的是:()
A:即使张拉控制应力、材料强度等级、混凝土截面尺寸以及预应力钢筋和截面面积相同,后张法构件的有效预压应力值也比先张法高
B:对预应力钢筋超张拉,可减少预应力钢筋的损失
C:施加预应力不仅能提高构件抗裂度,也能提高其极限承载能力
D:构件在使用阶段前始终处受压状态,发挥了混凝土受压性能
求两个静止点电荷之间的作用力,应通过()定律计算。
A:库仑
B:高斯
C:安培环路
D:电磁感应
一炮弹以初速度和仰角α射出。对于图所示直角坐标的运动方程为x=v
0
cosαt,y=v
0
sinαt-1/2gt
2
,则当t=0时,炮弹的速度和加速度的大小分别为:()
A:A
B:B
C:C
D:D
首页
<上一页
32
33
34
35
36
下一页>
尾页