自考题库
首页
所有科目
自考历年真题
考试分类
关于本站
游客
账号设置
退出登录
注册
登录
出自:计算机科学
对一个较大的图像指定代理图像(ProxyImage)分辨率的好处是?()
A:通过减小图像的分辨率来减小图像的大小
B:允许图像通过代理服务器打印
C:减少图像在屏幕上刷新的时间
D:通过抛弃不必要的像素减小图像大小
网络资源的共享性
Applet小程序和Application独立程序的主要区别是()。
A:小程序内必须有main()方法
B:独立程序必须包含main()方法,而Applet小程序的父类一定是Applet
C:两者都必须有main()方法
D:小程序必须包含main()方法,而独立程序的父类一定是Applet
几种会话维护技术中,最相似的两种技术是()。
A:URL重写技术和Cookie技术
B:URL重写技术和隐藏表单技术
C:Cookie技术和隐藏表单技术
D:隐藏表单技术和Servlet规范的HttpSession接口
栅格的快捷键是F7。
TCP/IP体系结构中最顶层的是(),第三层的是()
下面的()不是蠕虫。
A:“Labor Day Virus”
B:“熊猫烧香”
C:“红色代码”
D:“尼姆达”
控制两个对等实体进行通信的规则的集合称为()。
A:协议
B:语法
C:同步
D:语义
设i为整型量,执行循环语句for(i=50;i>=0;i-=10);后,i值为()
A:-10
B:0
C:10
D:50
寄存器R15除了可以做通用寄存器外,还可以做()
A:程序计数器
B:链接寄存器
C:堆栈指针寄存器
D:基址寄存器
用减法指令对两个补码表示的常数C7H(被减数)和6BH(减数)进行减法运算后,进位位CF,符号位SF,溢出位OF分别为()。
A:1,0,0
B:0,0,1
C:0,1,0
D:0,0,0
利用Garbage Matte可以制作中文手写字的效果。
printf函数是c语言的标准输出函数。
属于TCP/IP中传输层的协议有()
A:TCP
B:UDP
C:IP
D:ICMP
在java中的线程模型包含()
A:一个虚拟处理器
B:CPU执行的代码
C:代码操作的数据
D:以上都是
王明在网上看到一张“张家界风光”图片非常适合做电脑桌面,他想把这张图片王明在网上看到一张“张家界风光”图片非常适合做电脑桌面,他想把这张图片下载下来,一般我们会使用下列那种方式下载?()
A:鼠标右键点击图片选择“图片另存为”鼠标右键点击图片选择“图片另存为”
B:迅雷下载
C:使用“网际快车”进行下载
D:使用网络蚂蚁下载
广义的刊头是指在杂志封面一般处于位置固定不变的()和(),也可以理解为就是杂志的名称。
一般而言,NAS产品会使用(),从文件系统和TCP/IP网络设计上实现更加高效的文件存储和传输。
A:专用嵌入式操作系统
B:LINUX操作系统
C:服务器版本WINDOWS
D:高级UNIX操作系统
下列关于标尺和辅助线描述正确的是:()
A:将光标放到水平或垂直标尺上,按下鼠标,从标尺上拖出辅助线到页面上,一旦将辅助线放到某个位置,就再也不能移动
B:辅助线的颜色可以任意更改
C:路径和辅助线之间可以任意转化
D:在缺省状态下,辅助线是被锁定的,可以通过菜单命令解除辅助线的锁定状态,解除锁定后的辅助线可以通过释放辅助线命令将辅助线转化为路径
已知enumcolor{red,yellow=2,blue,white,black}ren;执行printf("%d",ren=white);的输出结果是()
A:0
B:1
C:3
D:4
ScriptManager控件的EnablePartialRendering属性确定某个网页是否参与局部页刷新。默认情况下,属性EnablePartialRendering值为true。
许多企事业单位现在都使用计算机计算、管理职工工资,这属于计算机在哪方面的应用()?
A:科学计算
B:数据处理
C:过程控制
D:辅助工程
以下对视频设备的描述中,正确的是()。
A:电视卡是一种播放软件
B:视频设备的功能是处理数字化声音(Wave)﹑合成音乐(MIDI)﹑CD音频等音频媒体
C:视频设备包括功放机﹑音箱﹑多媒体控制台﹑数字调音台等设备
D:视频卡主要用于捕捉﹑数字化﹑冻结﹑存储﹑输出﹑放大﹑缩小和调整来自激光视盘机﹑录像机或摄像机的图像
在HTML文档中,
标记的()属性可以创建跨越多个行的单元格。
A:rowspan
B:colspan
C:cellspacing
D:cellpadding
一个UDP用户数据的数据字段为8192季节。在数据链路层要使用以太网来传送。试问应当划分为几个IP数据报片?说明每一个IP数据报字段长度和片偏移字段的值。
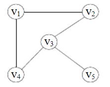
对图所示的无向图,依次输入各边:(v1,v2)、(v1,v4)、(v2,v3)、(v3,v4)、(v3,v5),请回答下列各问:
对(2)中的邻接表,给出从顶点v1出发的BFS序列和BFS生成树。
已知用一维数组存放的一棵完全二叉树:ABCDEFGHIJKL,写出该二叉树的先序、中序和后序遍历序列。
Office套装软件主要包括:()、()、()、Outlook、Access、和FrontPage6个组件。
低于20HZ的音频信号称作()
A:中波
B:声波
C:次声波
D:超声波
设置屏幕保护程序是为了()。
A:保护显示器
B:增添娱乐性
C:为了好看
D:主要看自己的爱好
首页
<上一页
330
331
332
333
334
下一页>
尾页