自考题库
首页
所有科目
自考历年真题
考试分类
关于本站
游客
账号设置
退出登录
注册
登录
出自:基础考试
一木板放在两个半径r=0.25m的传输鼓轮上面。在图示瞬时,木板具有不变的加速度a=0.50m/s
2
,方向向右;同时,鼓动边缘上的点具有一大小为3m/s
2
的全加速度。如果木板在鼓轮上无滑动,则此木板的速度为:()
A:0.86m/s
B:3m/s
C:0.5m/s
D:1.67m/s
在下面图b)的四个图中,表示图a)结构正确弯矩图的是:()
A:A
B:B
C:C
D:D
砌体结构设计时,必须满足下列中的哪些要求?()Ⅰ.满足承载能力极限状态Ⅱ.满足正常使用极限状态Ⅲ.一般工业和民用建筑中的砌体构件,可靠性指标β≥3.2Ⅳ.一般工业和民用建筑中的砌体构件,可靠性指标β≥3.7
A:Ⅰ、Ⅱ、Ⅳ
B:Ⅰ、Ⅲ
C:Ⅰ、Ⅱ、Ⅲ
D:Ⅰ、Ⅳ
对于界限含水率的试验方法,目前国际土测定液限的方法有()。
A:比重计法
B:蝶式仪法
C:圆锥仪法
D:烘干法
E:核子射线法
等直短圆柱体承受轴向压力P;径向压力p、扭转力偶矩m同时作用(图5-9-15)。现在圆柱体表面K点处,用横截面、径向截面、纵向截面截出单元体,在单元体各面上作用的应力单元体为:()
A:A
B:B
C:C
D:D
各硅酸盐水泥熟料反应速度的特点是:硅酸三钙,铝酸三钙,硅酸二钙()
A:最快 最慢 中等
B:最慢 中等 最快
C:中等 最慢 最快
D:中等 最快 最慢
AgCl在某种溶液中的溶解度为9.3×10
-5
mol·L
-1
,则它的溶度积为()。
A:8.6×10
-9
B:9.3×10
-5
C:1.9×10
-6
D:9.6×10
-2
轻型动力触探的适用范围主要是()。
A:粘性土
B:素填土
C:碎石土
D:粉土
E:粉细砂
标准贯入击数是指标准贯入器打入土中()深度的锤击数。
A:10cm
B:20cm
C:30cm
D:50cm
悬臂梁端部受集中力P作用(P垂直于轴线),截面形状及P的方向如图5-10-7所示四种情况,图中C为形心。使梁只发生平面弯曲的是哪种?()
A:A
B:B
C:C
D:D
下面为测试岩体应力的方法为()。
A:孔壁应变法
B:孔底应变法
C:狭缝法
D:水压致裂法
关于钢筋混凝土单层厂房柱牛腿说法正确的是:()
A:牛腿应按照悬臂梁设计
B:牛腿的截面尺寸根据斜裂缝控制条件和构造要求确定
C:牛腿设计仅考虑斜截面承载力
D:牛腿部位可允许带裂缝工作
用位移法求解图示结构,独立的基本未知量个数为:()
A:1
B:2
C:3
D:4
常温下,在CH
3
COOH与CH
3
COONa的混合溶液中,若它们的浓度均为0.1Omol·L
-1
,测得pH是4.75,现将此溶液与等体积的水混合后,溶液的pH值是:()
A:2.38
B:5.06
C:4.75D.5.25
钻芯法桩身完整性检测中,下列哪些特征可以判定为Ⅳ类桩()
A:混凝土芯样侧面蜂窝麻面、沟槽连续
B:桩身混凝土钻进很困难
C:混凝土芯样任一段松散、夹泥或分层
D:局部混凝土芯样破碎且破碎长度大于10cm
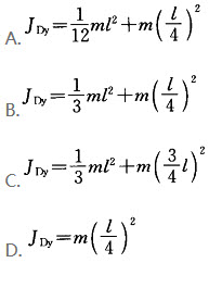
均质杆AB长L,质量m,质心为C。点D距点A为1/4L。杆对通过点D且垂直于AB的轴y的转动惯量为:()
A:A
B:B
C:C
D:D
岩体荷载试验针对较破碎的岩体而非强度较高的岩体。
电解熔融的MgCl
2
,以Pt作电极。阴极产物是:()
A:Mg
B:Cl
2
C:O
2
D:H
2
某有机物含有下列哪种官能团时,既能发生氧化反应、酯化反应,又能发生消去反应()。
A:A
B:B
C:C
D:D
设函数
,要使f(x)在x=0处连续,则常数a的值为()。
A:0
B:1
C:-1
D:2
钢结构轴心受压构件应进行下列哪些计算?()Ⅰ.强度Ⅱ.整体稳定性Ⅲ.局部稳定性Ⅳ.刚度
A:Ⅰ、Ⅲ、Ⅳ
B:Ⅰ、Ⅱ
C:Ⅰ、Ⅱ、Ⅲ
D:Ⅰ、Ⅱ、Ⅲ、Ⅳ
三个容器A、B、C中装有同种理想气体,其分子数密度,n相同,而方均根速率之比为
,则其压强之比p
a
:p
b
:P
c
为:()
A:1:2:4
B:4:2:1
C:1:4:16
D:1:4:8
构造应力的作用方向为()
A:铅垂方向
B:以水平方向为主
C:断层的走向方向
D:倾斜方向
,则Mg(OH)
2
在0.01mol·L
-1
NaOH溶液中的溶解度为:()
A:5.6×10-9mol·L-1
B:5.6×10-9mol·L-1
C:5.6×10-9mol·L-1
D:5.6×10-9mol·L-1
已知甲土的含水率大于乙土,则甲土的饱和度大于乙土。
对灰土地基、砂和砂石地基、土工合成材料地基、粉煤灰地基、强夯地基、注浆地基、预压地基,其竣工后的结果(地基强度或承载力)必须达到设计要求的标准。检验数量,每单位工程不应少于2点。
岩体变形测试试验的试验方法主要包括()。
A:单轴压缩法
B:狭缝法
C:钻孔径向加压法
D:液压枕径向加压法
DS型微倾式水准仪的主要组成部分是:()
A:物镜、水准器、基座
B:望远镜、水准器、基座
C:望远镜、三角架、基座
D:仪器箱、照准器、三角架
已知
(NH
3
)=1.77×10
-5
,用广泛pH试纸测定0.10mol·dm
-3
氨水溶液的pH值约是()。
A:13
B:12
C:14
D:11
曲柄所受约束及荷载如图所示。铰支座A处反力方向一定沿直线()。
A:AC
B:AE
C:AF
D:AG
首页
<上一页
31
32
33
34
35
下一页>
尾页