自考题库
首页
所有科目
自考历年真题
考试分类
关于本站
游客
账号设置
退出登录
注册
登录
出自:电气工程公共基础
使用兆欧表要注意什么?
反映项目对国民经济所作净贡献的相对指标是()。
A:经济净现值
B:经济内部收益率
C:社会折现率
D:影子价格
油浸风冷变压器,在风冷却装置运行的条件下进行声级测量时,规定的轮廓线应距基准发射面()米。
A:1
B:1.5
C:2
D:2.5
图示四连杆机构,其中AB杆固定,而在铰链C、D处分别作用力P、Q使机构保持平衡。若不计各杆自重,则CD杆的内力应为()。
A:-Q/2,压杆
B:+Q/2,拉杆
C:,压杆
D:拉杆
以下属于网管基本原理的是?()
A:安全管理
B:配置管理
C:故障管理
D:性能管理
下列选项中,属于信息系统集成服务的有()。
A:信息技术培训
B:软件设计与开发
C:数据加工处理
D:信息系统设计
《建设工程质量管理条例》规定,()等注册执业人员应当在设计文件上签字,对设计文件负责。
A:高级工程师或者总工程师
B:注册建造师或者注册建筑师
C:注册建筑师或者注册结构工程师
D:注册建造师或者注册结构工程师
下面哪一个不是IPV6-over-IPV4隧道技术()。
A:双栈技术
B:ISATAP隧道
C:6to4隧道
D:Teredo隧道
组合逻辑电路的特点是()。
A:不含记忆电路
B:不含反馈电路
C:从输入端开始单向传输到输出
D:任何时候的输出仅与当时的输入有关
描述触发器逻辑功能的方法有()。
A:状态转换真值表
B:特性方程
C:状态转换图
D:波形图
三相电力变压器一次接成星形,二次接成星形的三相四线制,其相位关系为时钟序数12,其联接组标号为()。
A:Y,yn0
B:Y,dn11
C:D,yn0
D:D,yn11
影子价格是商品或生产要素的任何边际变化对国家的基本社会经济目标所做贡献的价值,因而,影子价格是()。
A:市场价格
B:反映市场供求状况和资源稀缺程度的价格
C:计划价格
D:理论价格
一伽利略望远镜筒长12cm,放大本领为4×,他的物镜焦距为()。
A:48cm
B:22cm
C:24cm
D:16cm
IP地址是一个四字节的()位二进制数。
A:8
B:64
C:32
D:16
透镜的作用
资产负债率(),表明企业经营安全、稳健,具有较强的筹资能力,也表明企业和债权人的风险较小。
A:较高
B:较低
C:适度
D:等于零
ASCⅡ码用于表示()。
A:模拟
B:字符
C:数字
D:数模
测量电压时,应将电压表与被测的负载( )。
A:串联
B:并联
C:混联
设α1,α2,α3,β是n维向量组,已知α1,α2,β线性相关,α2,α3,β线性无关,则下列结论中正确的是()。
A:β必可用α1,α2线性表示
B:α1必可用α2,α3,β线性表示
C:α1,α2,α3必线性无关
D:α1,α2,α3必线性相关
图示输气管在喉道处用一玻璃管与盛水容器相连,已知玻璃管内水上升高度为h,则输气管喉道断面的相对压强p=()。
A:
B:
C:
D:
简述雷电冲击试验时波前时间和半峰值时间和哪些参数有关?
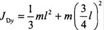
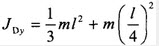
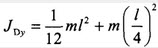
如图4-61所示匀质杆AB长ι,质量为C。点D距点A为。杆对通过点D且垂直于AB的轴y的转动惯量为()。
A:
B:
C:
D:
已知英文字母a的ASCⅡ码是十六进制数61H,那么字母d的ASCⅡ码是()。
A:34H
B:54H
C:24H
D:64H
一个字节可以描述()状态。
A:8个
B:256个
C:255个
D:不确定
在铜锌原电池中,将铜电极的c(H+)由1mol/L增加到2mol/L,则铜电极的电极电势()。
A:变大
B:变小
C:无变化
D:无法确定
将0.400mol/L的NH
3
·H
2
O与0.200mol/LHCl等体积混合,在混合后的溶液中加入少量强酸,则溶液的pH将()。
A:显著降低
B:显著增加
C:保持相对稳定
D:不变
已知己酸与乙酸乙酯的溶液的混合物中氢(H)的质量分数为7%,其中碳(C)的质量分数是()。
A:42.0%
B:44.0%
C:48.6%
D:91.9%
在题1中,C处铰链约束力RC的方位应为()。
A:RC垂直P
B:RC平行P
C:RC沿CE
D:RC沿CF
物体在平面镜中所成的像的大小与()
A:物体到平面镜的距离有关
B:平面镜的大小有关
C:物体的大小有关
D:物体放的角度有关
应用总流能量方程时,过流断面应选择()。
A:急变流断面
B:均匀流或渐变流断面
C:水平面
D:任意过流断面
首页
<上一页
30
31
32
33
34
下一页>
尾页