自考题库
首页
所有科目
自考历年真题
考试分类
关于本站
游客
账号设置
退出登录
注册
登录
出自:基础考试
计算机存储器存储容量的基本单位是()。
A:字节
B:字
C:KB
D:比特
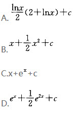
设f′(lnx)=1+x,则f(x)等于:()
A:A
B:B
C:C
D:D
根据桩身材料特性,桩可以分为摩擦桩和端承桩。
国内外应用最为普遍且技术发展最成熟的地应力测量方法主要有()。
A:表面应变法
B:孔径变形法
C:水压致裂法
D:表面应变解除法
E:钻孔套心应力解除法
电路如图所示,已知流过R
1
的电流I
1
=2A,若恒压源单独作用时流过R
1
的电流I
1
′=1A,则恒流源单独作用时流过R
1
的电流I
1
″为()A。
A:-1
B:-2
C:1
D:3
桩身完整性类别为Ⅳ类的桩应判定该受检桩不满足设计要求。
下列说法中,
不正确
的是()。(1)两种不同的黏性土,若其天然含水量相同,则其软硬程度亦相同(2)荷载作用下地基附加应力的扩散现象是由土中孔隙水压力消散造成的(3)土中的超静孔隙水压力是由动荷载引起的(4)以总应力法慢剪或排水剪得到的土的抗剪强度指标即为有效强度指标(5)地下水位的上升会改变相应土层的天然固结状态
A:(1)、(3)、(4)
B:(1)、(2)、(3)
C:(2)、(3)、(5)
D:(1)、(2)、(5)
受力体一点处的应力状态如图所示,该点的最大主应力σ
1
为:()
A:70MPa
B:10MPa
C:40MPa
D:50MPa
如图所示悬臂梁受力P作用。在图示四种截面的情况下,其最大正应力(绝对值)不能用公式
计算的是哪种截面?()
A:圆形
B:槽形
C:T形
D:等边角钢
设选取的基准收益率为i
c
,如果某投资方案在财务上可行,则有:()
A:财务净现值小于零,财务内部收益率大于i
c
B:财务净现值小于零,财务内部收益率小于i
c
C:财务净现值不小于零,财务内部收益率不小于i
c
D:财务净现值不小于零,财务内部收益率小于i
c
设函数y=e
2x
cos3x,则dy=()。
A:e
2x
(2cos3x-3sin3x)
B:e
2x
(2cos3x-3sin3x)dx
C:-6e
2x
sin3xdx
D:e
2x
(2cos3x+3sin3x)dx
粘性土的等效摩擦角是()
A:根据有效应力原理来计算的
B:将滑动面上的法向应力折算为内摩擦角
C:根据静力平衡原理来计算的
D:根据抗剪强度相等原理来计算的
下列化合物中不能进行缩聚反应的是()。
A:A
B:B
C:C
D:D
图示桁架中AC为刚性杆,则杆件内力将为:()
A:A
B:B
C:C
D:D
用视距测量方法求A、B两点间高差,通过观测得尺间距L=0.365m,竖直角a=3°15’00",仪器高i=1.460m,中丝读数2.379m,则AB两点间高差h
AB
为:()
A:1.15m
B:1.14m
C:1.16m
D:1.51m
直径为d的实心圆轴受扭,若使扭转角减小一半,圆轴的直径需变为:()
A:
B:
C:0.5d
D:2d
若函数
处连续且可导,则常数a、b的值应取为()。
A:a=1,b=1
B:a=-1,b=1
C:a=1,b=-1
D:a=-1,b=-1
土的剪切破坏面发生在最大剪应力面。
砂井堆载预压加固饱和软粘土地基时,砂井的主要作用是:()
A:置换
B:加速排水固结
C:挤密
D:改变地基土级配
规程中岩体现场载荷试验承压板法面积为()
A:100~200cm
2
B:200~500cm
2
C:500~1000cm
2
D:2000cm
2
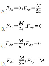
三铰拱上作用有大小相等,转向相反的二力偶,其力偶矩大小为M,如图所示。略去自重,则支座A的约束力大小为:()
A:A
B:B
C:C
D:D
墙高为6m,填土内摩擦角为30°、粘聚力为8.67kPa、重度为20kN/m
3
的均质粘性土,应用朗肯土压力理论计算作用在墙背上的主动土压力合力为:()
A:120kN/m
B:67.5kN/m
C:60kN/m
D:75kN/m
圆柱形管嘴的长度为L,直径为d,管嘴作用水头为H
0
,则其正常工作条件为:()
A:L=(3~4)d,H
0
>9m
B:L=(3~4)d,H
0
<6m
C:L>(7~8)d,H
0
>9m
D:L>(7~8)d,H
0
<6m
地下水中包括()。
A:结晶水B.结构水
B:结合水
C:重力水
用位移法计算图示刚架时,位移法方程的自由项F
1P
等于:()
A:10kN·m
B:30kN·m
C:40kN·m
D:60kN·m
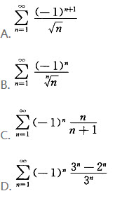
下列级数收敛的是()
A:A
B:B
C:C
D:D
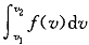
设某种理想气体的麦克斯韦分子速率分布函数为f(v),则速率在v
1
→v
2
区间内分子的平均速率v表达式为:()
A:
B:
C:
D:
当x→0时,与x
2
为等价无穷小的是()。
A:A
B:B
C:C
D:D
图示结构当E点有P=1向下作用时,B截面产生逆时针转角
,则当A点有图示荷载作用时,E点产生的竖向位移为:()
A:A
B:B
C:C
D:D
影响声波在岩体中传播速度的岩体物理性质主要有()。
A:岩石种类
B:岩石含水量
C:岩石风化及裂隙发育程度
D:岩石密度和孔隙率
E:岩石表面粗糙程度
首页
<上一页
27
28
29
30
31
下一页>
尾页