自考题库
首页
所有科目
自考历年真题
考试分类
关于本站
游客
账号设置
退出登录
注册
登录
出自:电气工程公共基础
像方截距
某项目的固定资产原值为3000万元,无形资产和其他资产为2000万元,若净残值率10%,预计使用年限为10年。采用平均年限折旧法,则第一年应提取的折旧额为()万元。
A:180
B:270
C:300
D:450
安装接线图包括_________、_________和_________。
IP地址192.0.0.3的类型是()。
A:A类
B:B类
C:C类
D:非法的
变压器带有局部放电测量的长时感应耐压试验的局部放电测试仪在试验过程中可以用改变频带的方法来减少干扰.( )
二元脉冲密度的编码?
变压器的外施耐压试验测量仪表应使用峰值表.( )
如图7-2所示,金属导轨上放置着ab和cd两根金属棒,各长1m,电阻均为4Ω,均匀磁场B-2T,方向垂直向里,当ab以ν1=4m/s,cd以ν2=2m/s的速度向左运动时,a、b两点间的电压UB=()V(忽略导轨电阻)。
A:12
B:4
C:-6
D:-8
油纸电容式套有为什么要高真空浸油?
下列有关机房设施表述正确的是( )。
A:卫生间内的任何开关和插座,距成套淋浴间门口不得小于0.2m,并应有防水、防潮措施
B:程控交换机房独立接地装置接地电阻最小值为10Ω
C:严禁利用大地做工作中性线
D:IT接地系统应装设绝缘监视以及接地故障报警或显示装置
单相变压器通入正弦激磁电流,二次侧的空载电压波形为()。
A:正弦波
B:尖顶波
C:平顶波
设f(x)在(-a,a)是连续的偶函数,且当0()
A:f(0)是f(x)在(-a,A.的极大值,但不是最大值
B:B.f(0)是f(x)在(-a,的最小值
C:C.f(0)足f(x)在(-a,的极大值,也是最大值
D:f(0)是曲线y=f(x)的拐点的纵坐标
将十进制数29.625转换成二进制数,结果是()。
A:11100.101
B:11101.101
C:11110.101
D:11101.11
变压器无激磁分接开关接触不良导致发热的原因有哪些?
变压器温升试验时分接的选择取决于设备,和试品的本身的容量无关.( )
现有三个备选方案甲、乙、丙,初始投资额分别为10万元、15万元、20万元,若AFNPV乙-甲>0,AFNPV丙-甲>0,AFNPV丙-己>0,则表明()。
A:甲方案最优
B:乙方案最优
C:丙方案最优
D:由于缺少数据,无法确定各方案优劣
已知反应C2H2(g)+2H2(g)C2H6(g)的,当反应达到平衡后,欲使反应向右进行,可采取的方法是()。
A:升温,升压
B:升温,减压
C:降温,升压
D:降温,减压
对大的故障电流很敏感的负载(电动机),可以采用的接地系统有( )。
A:IT
B:TT
C:TN-S
D:TN-C
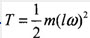
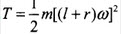
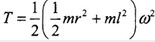
如图4-65所示,忽略质量的细杆OC=ι,其端部固结均质圆盘。杆上点C为圆盘圆心。盘质量为m。半径为r。系统以角速度ω绕轴O转动。系统的动能是()。
A:
B:
C:
D:
Wlan规划设计时具体流程有?()
A:调研及勘查
B:覆盖设计和容量设计
C:频率规划和网络优化
D:需求分析
变压器负载试验中负载损耗与温度成正比是因为直流电阻损耗和附加损耗都与温度成正比。()
以下对结构化开发方法描述
不正确
的是()。
A:以代表问题领域的对象为中心
B:程序编写方式是处理流程;封装方式程序模块
C:系统设计是定义模块、函数、流程、物理数据
D:需求分析是描述模块功能、函数逻辑、数据字典
电路如图7-30所示,开关S闭合前电路已达稳态,t=0时S闭合,电路的时间常数等于()。
A:L/R3
B:
C:
D:
图4-32中,物块重力为Q,放在粗糙的水平面上,其摩擦角φ=20°,若力P作用于摩擦角之外,并已知α=30°,P=Q,物体是否能保持平衡()。
A:能
B:不能
C:处于临界状态
D:P与Q的值比较小时能保持静止,否则不能
局部放电试验检测阻抗可分为RC型和RCL型。()
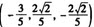
已知两点A(1,0,)和B(4,2,-),则与向量同向的单位向量为()。
A:(3,2,-2)
B:(-3,-2,2)
C:
D:
在运行中应怎样更换变压器的潜油泵?
在()端加可变电压,可使555多谐振蔼器输出调频波。
A:OUT
B:RD
C:C—U
D:GND
利用2个74LSl38和1个非门,可以扩展得到1个()线译码器。
A:2—4
B:3—8
C:4—16
D:无法确定。
基本RS触发器具有()。
A:置0
B:置1
C:保持记忆
D:装态不定
首页
<上一页
27
28
29
30
31
下一页>
尾页