自考题库
首页
所有科目
自考历年真题
考试分类
关于本站
游客
账号设置
退出登录
注册
登录
出自:电气工程公共基础
价值工程的核心是()。
A:产品分析
B:功能分析
C:成本分析
D:价值分析
为了得到正弦形的感应电动势,当铁芯饱和和不饱和时,空载电流各呈什么波形,为什么?
招标人应当确定投标人编制投标文件所需要的合理时间,但是依法必须进行招标的项目,自招标文件开始发出之日起至投标人提交投标文件截止之日止,最短不得( )。
A:少于三十日
B:少于六十日
C:少于十五日
D:少于二十日
不可压缩流体恒定总流的连续性方程是()。
A:u1dA1=u2dA2
B:v1A1=v2A2
C:ρ1u1dA1=ρ2u2dA2
D:ρ1v1A1=ρ1v2A2
10位二进制A/D转换器的分辨率是()。
A:1/10
B:1/100
C:1/1023
D:1/1024
加工是对数据流图中不能再分解的功能单元的精确说明,下述()是加工的最核心部分。
A:加工程序
B:加工逻辑
C:执行频率
D:激发条件
关于LVM描述正确的是()
A:源于微软公司,可以用在windows和Linux等大多数现在操作系统中
B:源于微软公司,只能用在windows平台上
C:诞生于20世纪80年代,只能用于UNIX平台
D:诞生于20世纪80年代,目前可广泛用于各种UNIX和Linux平台
数字电路中,当晶体管的饱和深度变浅时,其工作速度()。
A:变低
B:不变
C:变高
D:加倍
根据《行政许可法》的规定,下列可以不设定行政许可的事项是()。
A:有限自然资源开发利用等需要赋予特定权利的事项
B:提供公众服务等需要确定资质的事项
C:企业或其他组织的设立等,需要确定主体资格的事项
D:行政机关采用事后监督等其他方式能够解决的事项
以下选项
不属于
机房基础设施()。
A:供配电系统、UPS系统
B:空调系统
C:消防与安全监控系统
D:入侵检测,负载均衡系统
如果把D触发器的输出Q反馈连接到输入D,则输出Q的脉冲波形的频率为CP脉冲频率f的()。
A:二倍频
B:不变
C:四分频
D:二分频
什么是同极性端?
全息图
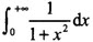
下列广义积分中发散的是()。
A:
B:
C:
D:
110kV电压等级的绕组其引线最小直径应不小于()mm。
A:12;
B:8;
C:20;
D:25。
为了防止森林火灾,在森林里不允许随地丢弃透明的装液体的饮料瓶,这是为什么?
什么是硬碰材料莫特点、用途是什么?
在损耗测量中瓦特表的电压线圈的电压是取在电源两端还是试品两端?
波前记录
下列关于物联网认识正确的是()。
A:传感器即物联网
B:物联网就是互联网的无边无际的延伸
C:RFID就物联网
D:物联网是信息化技术系统性的创新与革命
若项目的经济净现值大于或等于零,表明()。
A:项目从财务上是可以被接受的
B:项目从会计角度是盈利的
C:项目符合财务基准折现率的要求
D:项目从经济资源配置的角度来说是可以被接受的
设n阶矩阵A可逆,α是A的属于特征值λ的特征向量,则下列结论中
不正确
的是()。
A:α是矩阵-2A的属于特征值-2λ的特征向量
B:α是矩阵的属于特征值的特征向量
C:α是矩阵A*的属于特征值的特征向量
D:α是矩阵AT的属于特征值λ的特征向量
设计模值为36的计数器至少需要()级触发器。
A:3
B:4
C:5
D:6
三相三柱变压器的零序阻抗等于正序阻抗.( )
系统思考很多情况下处理的都是非常复杂的形势,用文字来表达可能会很冗长,所以需要一种简明扼要的表达方式、图形,系统循环图是系统思考的常用语言,一张清晰、简洁系统循环图有助于()。
A:抓住复杂系统的本质
B:明确地解析事务运转的情形
C:支持高效的团队工作
D:促进团队有效而清晰的交流
如图7-23所示电路中,在工频电压u(t)的激励下,电路的阻抗等于()。
A:R+314L+314C
B:R+314L+1/314C
C:
D:
市场上常见的鼠标有机械式和()。
A:触摸式
B:点触式
C:光式
D:光电式
具有保持记忆功能的触发器是()。
A:同步DC触发器
B:同步RS触发器
C:主从RS触发器
D:基本RS触发器
锐缘进口的圆柱形外管嘴的正常工作条件是()。
A:L=(3~4)d,H0>9.3m
B:L=(3~4)d,H0<9.3m
C:L>(3~4)d,H0>9.3m
D:L<(3~4)d,H0<9.3m
轴流式泵与风机属于()的泵与风机。
A:高比转速
B:低比转速
C:高扬程(全压)、大流量
D:低扬程(全压)、小流量
首页
<上一页
26
27
28
29
30
下一页>
尾页