自考题库
首页
所有科目
自考历年真题
考试分类
关于本站
游客
账号设置
退出登录
注册
登录
出自:初级中学教师资格证
看完文章时,以金字塔的形式把要点呈现出来,这种编码策略叫作( )
A:作关系图
B:列提纲
C:运用理论模式
D:利用表格
王老师为了让课堂更生动,特意为班里选了一篇教材改写了剧本。第二天,老师把计划和大家说了说,全班同学都很高兴,这时听到了一段小声议论:“老师怎么选这篇课文,又长又不好演”“你管呢,让你演什么你就演什么呗”“我可不想演”。听到这儿,老师的心一沉,原来是张同学。下课,王老师把张同学叫到办公室请她谈谈自己对演课本剧的想法。她说:“老师,我觉得您选的教材不好,而且您每次都是写好了剧本让我们演,您应该让我们自己来试一试。”她的话让王老师突然意识到他们并不希望老师什么都是“包办代替”,他们长大了。于是,任务交给了张同学,她高兴地接受了任务,开始和同学商量演哪一课,然后找老师参谋。课本剧表演得非常成功,王老师和同学们一同品尝了成功的喜悦。 请评价王老师的教学行为。
中国传统民间艺术“相声”,曾经是观众喜闻乐见的娱乐节目,但近几年来,由于缺乏创新,相声越来越让人乐不起来。材料旨在强调()。
A:文化创新可以推动社会实践的发展
B:没有创新就没有文化的繁荣和发展
C:文化创新必须以社会实践为基础
D:文化只有在继承和交流中才能创新
1844年,美国强迫清政府签订《望厦条约》,与《南京条约》及其补充条约相比,下列各项中,美国通过《望厦条约》扩大的侵略权益是()。
A:进出口货物应纳关税税率由两国议定
B:有权在通商口岸租赁土地、房屋和永久居住
C:享有领事裁判权和片面最惠国待遇
D:有权在通商口岸巡查贸易、开设医院、建立教堂
学生性格差异主要是指性格的()和性格的()
唐代画家韩滉的代表作是()。
A:《八骏图》
B:《清明上河图》
C:《五牛图》
D:《梅雀图》
能够培养学生发散性、创造性思维等思维能力和实践能力的学习方式是()。
A:自主学习
B:合作学习
C:设计学习
D:探究学习
在2006年8月24日国际天文学联合会大会上,被视为太阳系的“矮行星”,不再被视为大行星的是()。
A:海王星
B:冥王星
C:天王星
D:白矮星
2001年,教育部印发了()的通知。在世纪之交,我国大力推进基础教育课程改革,调整和改革基础教育的课程体系、机构、内容,构建符合素质要求的新的基础教育课程体系。
A:《基础教育课程改革纲要(试行)》
B:《中国教育与改革发展纲要》
C:《中华人民共和国教育法》
D:《中共中央国务院关于深化教育改革全面推进素质教育的决定》
蒋廷黻在《中国近代史》中有一段描述:“在广州,外人也是不自由的,夏秋两季是买卖季,他们可以住在广州的十三行,买卖完了,他们必须到澳门去过冬。„„他们在十三行住的时候,照法令不能随便出游。”这段描述反映清政府()
A:开放广州为通商口岸
B:绝对禁止中外贸易
C:坚持重农抑商政策
D:实行闭关锁国政策
研究发现,在学生中常见的心理障碍主要有()
A:自杀
B:攻击
C:退缩
D:焦虑
E:恐怖
“微博营销”是一种新兴营销方式,强调以客户为中心,在正确的时间把正确的信息传递给正确的人,它以微博为营销平台,向听众(粉丝)传播企业和产品信息。这启示企业应()①实行公司制运营模式,增加融资渠道②关注市场,了解用户需求,准确定位③制定正确的营销策略,坚持诚信经营④创新销售模式,减少传统的销售方式
A:①②
B:②③
C:①④
D:③④
一般而言,"心理断乳期"或"危险期"出现在人生的()。
A:少年期
B:青年期
C:幼儿期
D:儿童期
如图所示为有捕食关系的两个种群。下列相关叙述错误的是()。
A:通过捕食,甲种群的能量可以流向乙种群
B:甲种群可以调节乙种群的个体数量
C:甲种群对乙种群的进化起抑制作用
D:甲、乙种群相互选择共同进化
能解决教育中无儿童,见物不见人倾向的课程观是()。
A:课程是知识
B:课程是计划
C:课程是经验
D:课程是活动
在对运动员进行训练负荷诊断时,评价负荷强度的指标是()。
A:速度
B:次数
C:距离
D:时间
20世纪20—30年代,面对土地问题,孙中山提倡“耕者有其田”;中共则进行了土地革命。二者都()
A:满足了农民阶级的土地要求
B:要求改变农村的生产关系
C:推动了农村经济的迅速发展
D:调动了农民革命的积极性
在影响个体身心发展的诸多因素中,()具有加速个体发展的特殊功能。
某市第二十中学有一批复习资料投放阅览室让学生查阅,可是第一天就少了6本。有的人主张严肃查处,可是校长却不然,他写了几句话贴出去:“作为校长的首要责任是,要使全校师生明白,二十中人的人格是无价的,然而朋友,你信吗?投放的书少了6本。”第二天有人送回了一本,校长又公开写道:“你送回的不仅是一本书,你送回了人格,送回了二十中良好的校风。”第三天,其他5本也都送回了。
第1题,共2个问题
(简答题)根据案情说说这位校长的做法。
第2题,共2个问题
(简答题)谈谈你的认识。
动物细胞有丝分裂区别于高等植物细胞有丝分裂的特点是()。
A:核膜、核仁消失
B:形成纺锤丝
C:中心粒周围发出星射线
D:着丝点分裂,染色单体分离
下列关于南方曲笛与北方梆笛的说法正确的是()。
A:南方曲笛擅长使用舌的技巧,旋律多具跳跃的特点
B:南方笛曲风格典雅、音色柔和、抒情性强
C:北方梆笛擅长使用气的技巧,旋律多连贯、平衡
D:北方梆笛曲风优美、柔和,多以抒情为主
引起潮起潮落的主要原因是()
A:月亮
B:太阳
C:海风
D:季节
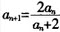
已知数列{a
n
}中,a
1
=1,且
(1)求证:数列
是等差数列; (2)求数列{a
n
}的通项公式。
教育学史上第一个正式提出的有关教育起源的学说是()
A:神话起源说
B:生物起源说
C:心理起源说
D:劳动起源说
学生在解决一个问题之后,以后遇到类似的问题还会采取先前的思维模式去解题,这种现象属于()。
A:原型启发
B:定势
C:迁移作用
D:功能固着
课堂中的三类力量是积极力量、消极力量和()
A:中性力量
B:斗争力量
C:敌视力量
D:团结力量
在限定时间内产生大量的观念,体现了创造性思维的( )特征。
A:灵活性
B:独创性
C:发散性
D:流畅性
体验式教学是一种师生互动、生生互动的教学,它的特点是:在教学过程中,人人参与,平等对话,提倡民主、开放、()的学习氛围。
A:合作
B:和谐
C:竞争
D:互助
将驴打滚、艾窝窝等北京人熟悉的北京小吃打包申遗的文化意义是()
A:提升北京小吃的品牌价值
B:利用物质载体传承传统文化
C:促进中外文化的传播与交流
D:丰富中华文化的形式和内容
根据我国《教师法》有关规定,"故意不完成教育教学任务给教育教学工作造成损失的"与"体罚学生,经教育不改的"教师,其教师资格将()。
A:给予撤销
B:宣告中止
C:永远丧失
D:给予行政处分或解聘
首页
<上一页
268
269
270
271
272
下一页>
尾页