自考题库
首页
所有科目
自考历年真题
考试分类
关于本站
游客
账号设置
退出登录
注册
登录
出自:经济学
已知某一时期内某商品的需求函数为Qd=50-5P,供给函数为QS=-10+5P。求均衡价格Pe和均衡数量Qe,并作出几何图形。
说明固定汇率制度的运行。
花椰菜的供求如下式所述:
第1题,共3个问题
(简答题)画出供给曲线的需求曲线。均衡价格和均衡数量是多少?
第2题,共3个问题
(简答题)计算均衡时的消费者剩余、生产者剩余和总剩余。
第3题,共3个问题
(简答题)如果一个不喜欢椰菜的独裁者要禁止销售这种蔬菜,谁将承担更大的负担——花椰菜的买者还是卖者?
下列哪项不在当前世界各国公共保健支出的形式之列()
A:企业直接向个人提供医疗补助
B:对企业提供医疗保险给予税收优惠
C:对个人超过一定水平的医疗费用允许从个人所得税税基中除
D:直接向病人或医院提供医疗补助
下列哪几种情况下,投资乘数会越大()。
A:边际消费倾向越大
B:边际消费倾向越小
C:边际税率越高
D:边际储蓄倾向越小
社会总产品是怎样分配的?
检验多重共线性的方法有()。
A:等级相关系数法
B:戈德菲尔德—匡特检验法
C:工具变量法
D:判定系数检验法
E:差分法
F:逐步回归法
根据粘性工资理论,物价水平的上升在短期内会增加就业。
今年又是个丰收年,农民是喜还是忧?为什么?
定向的房屋贷款是次贷危机中贷款的主要形式。
何谓资金时间价值?资金时间价值的表现形式有哪些?是不是所有资金都有时间价值?
资金的循环是指资金经过四个阶段。化肥、农药处于哪个阶段?()
A:销售
B:分配
C:供应
D:生产
成本推动通货膨胀包括()
A: 工资推动通货膨胀
B: 需求膨胀推动通货膨胀
C: 利润推动通货膨胀
D: 部门间生产率增长差别导致通货膨胀
商业利润的来源是()
A:商品的买卖活动
B:商品的销售价格高于商品的购买价格
C:流通领域的商业活动
D:产业部门的工人创造的剩余价值
边际生产力理论认为()
A:总产值等于所有要素报酬之和
B:要素报酬取决于要素所生产的边际产量
C:如果所有市场都是完全竞争的,那么,资源配置就是有效率的
D:上述说法全都准确
下面的陈述,哪个代表了产量函数和成本函数之间的正确关系?()
A:当边际产量递增时,平均成本或边际成本也是递增的
B:当边际产量递增时,平均成本或边际成本是递减的
C:当边际产量递减时,平均成本或边际成本也会递减
D:产量和成本之间的关系不确定
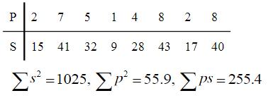
以下是商品价格P和商品供给S的数据:
其中小写字母表示离差(观察值减去均值)。
第1题,共4个问题
(简答题)估计OLS线性回归方程E(S)=β
1
+β
2
P
第2题,共4个问题
(简答题)估计β
1
,β
2
的标准差。
第3题,共4个问题
(简答题)检验假设:价格影响供给。
第4题,共4个问题
(简答题)求β
1
的置信度为95%的置信区间。你对置信区间有何评论?
农业劳动力利用率
中央银行具有以下哪些行为权力()。
A:稳定经济活动水平
B:控制货币供给
C:控制信用的可获性
D:管理银行体系
简述我国省区经济地域结构的几种发展模式。
对粮油制品、自来水、煤气等公共产品采用的税率是()
A:13%
B:15%
C:17%
D:12%
战略性贸易政策的核心内容是()。
A:鼓励企业积极参与国际竞争
B:反倾销政策
C:通过政府干预发展本国产业的竞争优势
D:出口补贴
生产资料所有制
现代企业制度的构成内容,主要包括()
A:生产者责任制
B:厂长责任制
C:企业法人制度
D:有限责任制度
E:科学的组织制度
专利的期限越长,引致的创新和研发越少,减少了社会福利。()
某企业从自留利润中每年提取100000元为福利基金存入银行,若年利率为8%,10年后可得()元福利基金?
GDP
均衡产出
下列属于市场中介组织的是()
A:地方税务局
B:律师事务所
C:工商行政管理局
D:财政局
准公共产品具备()
A:非竞争性和非排他性
B:非排他性和一定的竞争性
C:排他性和一定的非竞争性
D:非排他性和一定的非竞争性
首页
<上一页
258
259
260
261
262
下一页>
尾页