自考题库
首页
所有科目
自考历年真题
考试分类
关于本站
游客
账号设置
退出登录
注册
登录
出自:电气工程公共基础
TTL电路中,能实现“线与”逻辑()。
A:异或门
B:OC门
C:TS门
D:与或非门
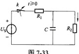
在图7-33所示电路中,开关k在t=0时刻打开,此后,电流i的初始值和稳态值分别为()。
A:
B:
C:
D:
在现场利用变压器箱体进行真空干燥,当真空度达到全真空时,箱壳每平方米受到的均匀压力为()N。
A:10;
B:100;
C:1000;
D:9.80665³104。
函数
是以下()方程的解.
A:
B:
C:
D:
在RFID系统中由天线、编/解码器、电源、解调器、存储器、控制器以及负载电路组成的是()。
A:应答器
B:阅读器
C:高层软件
D:发送器
根据热力学第二定律判断,以下结果正确的是()。
A:热量能从高温物体传到低温物体,但不能从低温物体传到高温物体
B:功可以全部变为热,但热不能全部变为功
C:气体能够自由膨胀,但不能自动收缩
D:有规则运动的能量能够变为无规则运动的能量,但无规则运动的能量不能变为有规则运动的能量
新设法人融资方式,建设项目所需资金来源于()。
A:资本金和债务资金
B:资本金和注册资本
C:资本金和权益资金
D:建设资金和债务资金
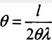
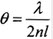
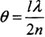
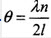
有一玻璃劈尖,置于空气中,劈尖角为θ用波长为λ的单色光垂直照射时,测得相邻明纹的间距为ι,若玻璃的折射率为n,则θ、λ、ι与n之间的关系为()。
A:
B:
C:
D:
角谱理论
在热力学标准条件下,0.100mol的某不饱和烃在一定条件下能跟0.200g的H2发生加成反应生成饱和烃,完全燃烧时生成0.300mol的CO2气体,则该不饱和烃是()。
A:
B:
C:
D:
3d轨道的磁量子数m的合理值是()。
A:1、2、3
B:0、1、2
C:3
D:0、±1、±2
下面的地址中哪一个不是IPV6本地使用的单播地址()。
A:FE80::/10前缀的地址
B:FEC0::/10前缀的地址
C:FF00::/8前缀的地址
D:FD00::/8前缀的地址
以下各电路中,()可以产生脉冲定时。
A:多谐振荡器
B:单稳态触发器
C:施密特触发器
D:石英晶体多谢振荡器
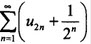
若级数收敛
,则下列级数中不收敛的是()。
A:
B:
C:
D:
点P沿图4-36所示轨迹已知的平面曲线运动时,其速度大小不变,加速度a应为()。
A:a=a≠0,at=0(a:法向加速度,at:切向加速度)
B:a=0,at=a≠0
C:a≠0,at≠0,at+a=a
D:a=0
一般来说,异种网络互联与多个子网联都应采用()来完成。
A:交换机
B:HUB
C:网关
D:路由器
下列说法中,错误的是()。
A:字节是存储器存储信息的基本单位
B:一个字节由八位二进制码组成
C:一个二进制码称为"位"
D:内存容量用"位"(bit)作单位
三端集成稳压器CW7812的输出电压是()。
A:12V
B:5V
C:9V
周期性交流量的波顶因数等于( )
A:有效值/平均值
B:最大值/有效值
C:瞬时值/有效值
D:最大值/平均值
胶片用于相关光学系统中?
图7-52中a所示的固定偏置放大电路中,已知晶体管的输出特性曲线和电路的直流负载线[图7-52中的b],可得出该电路的静态值为()。
A:
B:
C:
D:
TT系统适用于()。
A:高压供电接近变电所的场所
B:对接地要求高的电子设备和数据处理设备
C:对防火、防爆有要求的场所
D:三相负荷比较平衡,电路中三次谐波电流不大,并有专业人员维护管理的一般车间等场所
球面波
以下物理量是流体运动要素的是()。
A:压力
B:流量
C:比重
D:汽化压强
三回路的YF型风冷却器的净油器接在()。
A:第1、2回路的末端之间;
B:第1回路始端与第3回路末端之间;
C:第2回路始端与第3回路末端之间;
D:短路段。
下列属于集成实施通用规范的是()。
A:集成交付规范
B:知识库管理规范
C:安装部署规范
D:集成保障规范
什么是光阑?
继电接触控制电路如图所示,实现电动机连续运行的环节是()。
A:QS电器
B:FU电器
C:KM4触点构成的自锁环节
D:KM1-3触点构成的环节
联接组号不同的变压器不能并联运行,是因为()。
A:电压变化率太大;
B:空载环流太大;
C:负载时激磁电流太大;
D:不同联接组号的变压器变比不同。
三相变压器损耗测量系统可以使用2瓦特表或3瓦特表法.( )
首页
<上一页
24
25
26
27
28
下一页>
尾页