自考题库
首页
所有科目
自考历年真题
考试分类
关于本站
游客
账号设置
退出登录
注册
登录
出自:经济学
任何种失业率下,通货膨胀率将是不变的()。
A:稳定失业率
B:均衡失业率
C:预期的失业率
D:自然失业率
最适应市场经济本性的一种价格形式是()价格。
A:理论
B:市场
C:计划
D:指导
实现经济社会与人口、资源、环境的持续协调稳定发展是()
A:加速经济增长的要求
B:提高经济效益的要求
C:可持续发展的要求
D:优化产业结构的要求
边际收益递减规律所研究的问题是;()
A:各种生产要素同时变动对产量的影响
B:其他生产要素不变,一种生产要素变动对产量的影响
C:一种生产要素不变,其他几种生产要素变动对产量的影响
用以表示经济发展战略目标的经济社会指标主要是()
A:人均货币储存增长率
B:人均国民生产总值的增长率
C:平均估计寿命,死亡率
D:识字率,就业率
E:人均热量,人均居住面积
在拉丁美洲,由于离婚通常是不可能的,同居因而变得相对普遍。
政治经济学转向现代经济学的标志是马歇尔的《经济学原理》
第一年年初借出1000元,以复利计息,年利率8%,半年计息一次,第四年年末可收回多少()
A:1368.57元
B:1360.49元
C:1850.93元
D:1169.86元
若和的需求交叉价格弹性大于零,则()。
A:和是互补品
B:和是替代品
C:和是必需品
D:和是低档品
影子汇率换算系数越高,产品是外贸货物的项目,其经济效益越好。
根据微观经济学的观点,选择元素的约束条件是哲学和制度。
私人物品的排他性特点,决定了这种物品()。
A:可在不发生外部经济性问题状态下决定其最优产量
B:可在私人利益与社会利益一致下决定其最优产量
C:可按边际收益等于边际成本决定其最优产量
D:可按社会利益最大化下决定其最优产量
阳光下,海水一般看上去呈()色或()色。
A:黄、绿
B:蓝、绿
C:橙、红
D:黄、蓝
劳动过程中的简单要素是什么?
国家预算的主要理论有()
A:均衡预算
B:功能预算
C:高度就业预算
D:PPBS
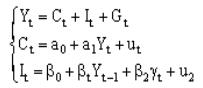
下列是简化的三部门宏观经济计量模型,则模型中前定变量的个数为()
A: 3
B: 4
C: 2
D: 6
技术创新的特征是什么?
做好预定;主动与旅行社、预订网站、会议组织者联系,争取客源;派推销人员到机场去接客人;利用报纸、电视等进行广告宣传,这样的酒店营销观念是属于()
A:生产导向观念
B:产品导向观念
C:推销导向观念
D:营销导向观念
人才的特点?
餐饮市场机制
与自然规律相比,经济规律的特点是()
A:一般来说经济规律不是长久不变的
B:一般来说经济规律是长久不变的
C:经济规律总是和人们的经济活动相联系的
D:在阶级社会中经济规律的发现和利用受到阶级利益的限制
E:在阶级社会中经济规律的发现和利用不受阶级利益的限制
人力资本的核心是()
A:人力投资
B:物力投资
C:生产投资
D:教育投资
简述犯罪是城市经济的重要部分体现在那些方面?
简述现代农业的标志。
部门集中的特点及问题?
关于网络企业边际收益曲线与一般工业企业边际收益曲线相比较,正确的说法是()
A:网络企业边际收益曲线随产量增加而上升,一般工业企业边际收益曲线也随产量增加而上升
B:网络企业边际收益曲线随产量增加而上升,一般工业企业边际收益曲线先上升后下降
C:网络企业边际收益曲线先上升后下降,一般工业企业边际收益曲线也先上升后下降
D:网络企业边际收益曲线先下降后上升,一般工业企业边际收益曲线也先下降后上升
投资指一个国家或地区一定时期内个人资本的形成和增加。
我国的汇率制度改革的目标是人民币实行()。
A:复合的、盯住的汇率制度
B:单一的、盯住的汇率制度
C:单一的、有弹性的汇率制度
D:复合的、有弹性的汇率制度
当()时,LM曲线更平缓。
A:使净出口余额和收入增加
B:收入增加,但使净出口余额变为负值
C:收入增加,但对净出口余额没有影响
D:收入不受影响,但净出口余额为负值
在其他条件不变的情况下,如果某商品的价格下降10%能够引起消费者在该商品上的总支出增加1%,则这种商品的需求量对其价格是()
A:富有弹性的
B:缺乏弹性的
C:单元弹性的
D:不能确定
首页
<上一页
256
257
258
259
260
下一页>
尾页